Suboptimal outcomes with the ACURATE neo2 valve have been attributed to valve frame underexpansion, reported in approximately 20% of cases according to 3 recently proposed angiographic criteria. We aimed to validate these criteria in an independent registry with a 2-year follow-up.
MethodsThis registry included 696 patients with severe aortic stenosis treated with the ACURATE neo2 valve at 7 experienced centers. Underexpansion was defined as the presence of at least 1 of the 3 criteria; the boundary box method was also applied to assess postparallelism. The primary endpoint was a composite of all-cause mortality, stroke, or heart failure hospitalization at 2 years.
ResultsThe mean age was 81± 5.8 years. Based on the 3-criteria method, underexpansion was identified in 154 patients (22%). There were no significant differences in the primary endpoint between the 2 groups. The cumulative incidence of the composite outcome was 13.7% vs 11.0% at 1 year and 21.0% vs 17.4% at 2 years for the underexpanded and expanded groups, respectively (P=.535). Similarly, no differences were observed with the boundary box method. On multivariable analysis, underexpansion was not independently associated with the primary endpoint (HR, 1.15; 95%CI, 0.73-1.80, P=.537). The only variables significantly associated with major adverse events at 2-years were atrial fibrillation, diabetes mellitus, and reduced glomerular filtration rate.
ConclusionsThe presence of at least 1 angiographic underexpansion criterion after ACURATE neo2 implantation did not predict adverse outcomes at follow-up.
Keywords
Transcatheter aortic valve implantation has become the treatment of choice for severe aortic stenosis even in patients at low surgical risk. Valve designs have proliferated in recent years, and selection of the most suitable transcatheter aortic valve implantation model tailored to each patient is of paramount importance.1 For this reason, comparative studies of the various valve types are now being published.2–6 The ACURATE neo2 (Boston Scientific, USA) is a self-expanding nitinol frame with top-down deployment that has been commercially available in Europe since October 2020. This model, associated with a reduction in paravalvular leak compared with its predecessor, was recently compared with other contemporary transcatheter aortic valve implantation systems (SAPIEN [Edwards Lifesciences, USA] and Evolut [Medtronic, USA]) in the IDE trial.7,8 The trial did not demonstrate noninferiority of ACURATE neo2 compared with the control group for the primary endpoint (all-cause mortality, stroke, or rehospitalization at 1 year). Suboptimal outcomes in the ACURATE neo2 arm were attributed to valve frame underexpansion, observed in approximately 20% of cases. Underexpansion criteria were retrospectively identified in a post hoc analysis, and patients with underexpanded valves had higher rates of death (2-fold increase) and stroke (3-fold increase) compared with those with well-expanded valves.9
The aim of the present study was to validate the underexpansion criteria for the ACURATE neo2 valve in an independent multicenter registry.
METHODSStudy populationIn this registry, we included all consecutive patients with severe aortic stenosis treated with the ACURATE neo2 valve at 7 experienced centers in Spain between October 2020 and March 2024 (figure 1A). The decision to undergo transcatheter aortic valve implantation and the final treatment strategy were determined by each institution's heart team. All patients underwent routine preprocedural screening according to local protocols. We collected information on symptoms, medical history, comorbid conditions, and surgical risk classification using the Society of Thoracic Surgeons predicted risk of mortality score. Patients provided informed consent for the procedure and the use of anonymized data. The study protocol complied with the Declaration of Helsinki and was approved by the ethics committee of the coordinating center.
Central illustration. A, participating centers in Spain. B, overlap of the components of the 3-criteria method. C, 3-criteria method: (1) presence of nonparallel commissure posts; (2) valve height greater than width; and (3) inflow diameter greater than upper crown diameter. D, cumulative incidence of the primary endpoint stratified by valve expansion according to the 3-criteria method. TAVI, transcatheter aortic valve implantation.
The ACURATE neo2 is a self-expanding transcatheter heart valve composed of a nitinol frame and a trileaflet porcine pericardial valve in the supra-annular position, with internal and external pericardial skirts. During the registry, the device was available in 3 sizes (23, 25, and 27mm) and was designed to treat annuli measuring 20.5 to 27mm in diameter. Device size was determined by the operators according to the annular perimeter (S size [23mm], M size [25mm], and L size [27mm] for aortic annuli ≤ 72mm,> 72 to ≤ 79mm, and> 79 to ≤ 85mm, respectively). Balloon predilatation was performed according to the manufacturer's recommendation (balloon diameter=mean annular diameter–1mm). Balloon postdilatation was performed at the operators’ discretion (at the time of the study, the underexpansion criteria analyzed were not yet defined). Patients in sinus rhythm were discharged on aspirin, and those with atrial fibrillation on oral anticoagulants alone, except for patients with a recently implanted coronary stent, who also received antiplatelet therapy.
Underexpansion definitionUnderexpansion was defined as the presence of at least 1 of the following criteria, as proposed by Reardon et al.10 at the Transcatheter Cardiovascular Therapeutics meeting (TCT 2024) (3-criteria method) (figure 1C). Criterion 1, nonparallel commissure posts (ie, 1 post not parallel to the other); criterion 2, valve taller than wide; criterion 3, inflow wider than the upper crown. Because underexpansion was also defined using the boundary method in the IDE trial9 and by Kim et al.,11 the boundary method was additionally evaluated (definition in ). All cases with underexpansion were assessed at the lead center by 2 expert operators using these predefined angiographic criteria, and disagreements were resolved by consensus.
EndpointsThe primary endpoint was a composite of all-cause mortality, stroke, or heart failure hospitalization at 2 years.12 Secondary endpoints were the individual components of the composite endpoint and cardiovascular mortality. Outcome definitions followed the Valve Academic Research Consortium-3 criteria.12 Clinical follow-up was performed through outpatient visits, telephone contact, and review of electronic medical records.
Statistical analysisCategorical variables are expressed as counts (percentages) and continuous variables as mean±standard deviation or median [interquartile range], according to distribution. The chi-square or Fisher exact test was used to compare categorical variables, and the Student t test or Mann-Whitney U test for continuous variables, as appropriate. The association between underexpansion and clinical outcomes was assessed with time-to-event analyses using Kaplan-Meier curves and Cox proportional hazards models. To evaluate predictors of the primary endpoint, a Cox proportional hazards model was fitted with backward stepwise elimination, initially including variables with P <.15 in univariable analyses. Missing covariate data were assumed to be missing at random and were handled with multiple imputation by chained equations, generating 10 imputed datasets. Hazard ratios (HR) and corresponding 95% confidence intervals (95%CI) were pooled across imputed datasets using Rubin rules. Statistical analyses were conducted with R software (version 4.4.2; R Foundation for Statistical Computing, Austria).
RESULTSIncidence of underexpansion criteriaThe patient flowchart is shown in figure 2. All 696 patients underwent predilatation with a balloon with a mean diameter of 21.2±2.0mm. Following valve implantation, 37% of patients met at least 1 criterion for underexpansion (3-criteria method). At the time of registry enrollment, the underexpansion criteria had not yet been formally defined; therefore, only 50% of underexpanded valves were postdilated. Postdilatation was performed with either the same balloon diameter or 1 slightly larger (mean 22.4±2.0mm). Underexpansion was corrected in most of these patients (82%), but in 23 (18%), at least 1 criterion for underexpansion persisted despite postdilatation. Consequently, the final clinical analysis compared patients with residual underexpansion (whether postdilated or not; n=154) with those with adequate valve expansion (n=542). In all, 154 patients (22%) had at least 1 underexpansion criterion at the end of the procedure: 122 (79%) fulfilled 1 criterion, 27 (17%) 2, and 5 (4%) 3 criteria. According to the 3-criteria method,10 criterion 1 was present in 113 patients, criterion 2 in 31, and criterion 3 in 47. Figure 1B provides a Venn diagram illustrating this overlap. When considering only commissure after nonparallelism using the boundary box method,9 underexpansion was present in 83 patients (12%). The relationship among the boundary box method and criteria 2 and 3 of the 3-criteria method is illustrated in the supplementary data ().
Baseline characteristicsBaseline characteristics are shown in table 1. There was a small difference in age between groups; however, the Society of Thoracic Surgeons’ score was identical. All other clinical, echocardiographic, computed tomography, and procedural variables were comparable between groups.
Baseline characteristics
| Variable | Expanded | Underexpanded | P |
|---|---|---|---|
| n=542 | n=154 | ||
| Clinical | |||
| Age, y | 81.5±5.5 | 80.1±6.0 | .018 |
| Female sex | 370 (68.3) | 107 (69.5) | .775 |
| Body mass index, kg/m2 | 28.5±4.7 | 28.5±5.8 | .467 |
| STS score, % | 5.6±3.8 | 5.6±5.0 | .365 |
| Dyslipidemia | 368 (67.9) | 106 (68.8) | .826 |
| Hypertension | 466 (86.0) | 129 (83.8) | .492 |
| Diabetes mellitus | 217 (40.0) | 62 (40.3) | .960 |
| History of stroke | 46 (8.5) | 17 (11.0) | .330 |
| Peripheral artery disease | 34 (6.3) | 7 (4.5) | .422 |
| Coronary artery disease | 108 (19.9) | 23 (14.9) | .162 |
| Atrial fibrillation | 160 (29.5) | 46 (29.9) | 933 |
| Prior pacemaker | 28 (5.2) | 9 (5.9) | .714 |
| COPD | 57 (10.5) | 19 (12.3) | .523 |
| eGFR, mL/min/1.73 m2 | 57.5±21.2 | 56.0±23.3 | .465 |
| NT-proBNP, pg/mL | 3078±5151 | 3647±5060 | .040 |
| Rhythm | .760 | ||
| Sinus rhythm | 357 (80.2) | 93 (77.5) | |
| Atrial arrhythmia | 83 (18.7) | 26 (21.7) | |
| Atrial pacing | 2 (0.4) | 0 (0) | |
| QRS | .880 | ||
| Narrow | 329 (74.6) | 91 (76.5) | |
| RBBB | 55 (12.5) | 16 (13.4) | |
| LBBB | 49 (11.1) | 10 (8.4) | |
| Ventricular pacing | 8 (1.8) | 2 (1.7) | |
| Echocardiographic | |||
| Bicuspid aortic valve | 8 (1.5) | 4 (2.6) | .315 |
| Peak aortic jet velocity, m/s | 4.4±0.6 | 4.5±0.6 | .693 |
| Mean aortic gradient, mmHg | 49.7±13.6 | 50.9±12.9 | .194 |
| Aortic valve area, cm2 | 0.7±0.2 | 0.7±0.2 | .222 |
| Left ventricular ejection fraction, % | 62.0±10.2 | 59.9±9.7 | .117 |
| Computed tomography | |||
| Agatston calcium score | 1905±1320 | 2176±1482 | .256 |
| Annular area, mm2 | 398.1±67.5 | 405.3±74.8 | .163 |
| Annular perimeter, mm | 71.8±7.0 | 72.7±6.1 | .225 |
| Annulus maximum diameter, mm | 25.5±2.4 | 25.6±2.4 | .466 |
| Annulus minimum diameter, mm | 20.0±2.4 | 20.3±2.0 | .196 |
| Area – LVOT, mm2 | 355.8±121.7 | 355.8±144.4 | .192 |
| Perimeter – LVOT, mm | 71.5±7.6 | 72.5±8.7 | .101 |
| Maximum diameter – LVOT, mm | 26.2±2.5 | 26.3±2.6 | .455 |
| Minimum diameter – LVOT, mm | 18.9±2.7 | 19.2±2.3 | .108 |
| LVOT calcification | 113 (20.8) | 19 (12.3) | .024 |
| Left coronary artery height, mm | 12.3±2.7 | 12.3±2.8 | .917 |
| Right coronary artery height, mm | 15.4±3.1 | 15.4±3.2 | .987 |
| Ascending aorta angle,° | 49.1±9.7 | 48.6±9.7 | .670 |
| Sinotubular junction height, mm | 21.3±3.0 | 21.4±3.4 | .844 |
| Sinotubular junction diameter, mm | 27.1±3.2 | 27.2±3.6 | .681 |
AF, atrial fibrillation; BMI, body mass index; CAD, coronary artery disease; COPD, chronic obstructive pulmonary disease; CT, computed tomography; eGFR, estimated glomerular filtration rate; LBBB, left bundle branch block; LVEF, left ventricular ejection fraction; LVOT, left ventricular outflow tract; NT-proBNP, N-terminal pro-B-type natriuretic peptide; PAD, peripheral artery disease; RBBB, right bundle branch block; STS, Society of Thoracic Surgeons.
The data are presented as No. (%) or mean±standard deviation.
Procedural data are shown in table 2. The transfemoral approach was used in most cases, while the transaxillary route was used in a minority. Valve size distribution was similar between groups. Both technical and device success rates were high, with no statistically significant differences in complication rates. The need for covered stent implantation, considered a major vascular complication, did not adversely affect in-hospital outcomes. In-hospital mortality and stroke rates were low and comparable between groups.
Procedural data and in-hospital outcomes
| Variable | Expanded | Underexpanded | P |
|---|---|---|---|
| n=542 | n=154 | ||
| Procedure | |||
| Vascular access | .999 | ||
| Transfemoral | 539 (99.4) | 153 (99.3) | |
| Transaxillary/subclavian | 3 (0.7) | 1 (0.8) | |
| Valve size | .491 | ||
| 23 mm | 193 (35.6) | 51 (33.1) | |
| 25 mm | 206 (38.0) | 52 (33.8) | |
| 27 mm | 143 (26.3) | 51 (33.1) | |
| In-hospital stay, d | 4.7±5.0 | 4.6±3.9 | .418 |
| In-hospital outcomes | |||
| Technical successa | 518 (96.1) | 147 (95.4) | .950 |
| Device success (at 30 da) | 512 (94.4) | 144 (93.5) | .652 |
| Conversion to surgery | 4 (0.7) | 0 (0.0) | .581 |
| PVR moderate or greater | 4 (0.7) | 2 (1.3) | .619 |
| Valve embolization | 4 (0.7) | 2 (1.3) | .619 |
| Major vascular complication | 17 (3.1) | 5 (3.2) | .945 |
| Pacemaker implantationb | 46 (8.6) | 15 (9.7) | .628 |
| All stroke | 4 (0.7) | 2 (1.3) | .619 |
| Death | 6 (1.1) | 1 (0.6) | .999 |
PVR, paravalvular regurgitation.
The data are presented as No. (%) or mean±standard deviation.
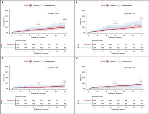
The cumulative incidence of events at 1- and 2-year follow-up is shown in figure 1D and figure 3. For the composite endpoint of all-cause mortality, stroke, or heart failure rehospitalization, no significant differences were observed between groups (P=.535). The cumulative incidence for the underexpanded vs expanded groups was 13.7% vs 11.0% at 1 year and 21.0% vs 17.4% at 2 years (figure 1D). Similarly, no significant differences were observed for all-cause mortality (figure 3B): 9.6% vs 6.1% at 1 year and 16.5% vs 10.7% at 2 years (P=.102), and for cardiovascular mortality (figure 3A): 6.9% vs 5.5% at 1 year and 14.0% vs 9.6% at 2 years (P=.293). Stroke and heart failure rehospitalization rates were also similar between groups at both time points (figure 3C-3D).
Irrespective of whether underexpansion was defined by the number of criteria met or by each individual criterion, there were no differences in the primary endpoint between the expanded and underexpanded groups. The number and percentage of primary endpoint events according to these definitions are shown in figure 4. Consistently, event rates at 1 year did not differ between groups when underexpansion was defined by the nonparallel postcriterion using the boundary box method ().
At 2 years, no significant differences were observed between patients who underwent postdilatation (n=132) and those who did not (n=131). The cumulative incidence of the primary endpoint at 2 years was 17.6% (expanded) vs 20.3% (underexpanded) (HR, 0.92; 95%CI, 0.58-2.03).
Univariable and multivariable analyses of predictors of the primary endpoint are summarized in table 3. Underexpansion was not associated with the primary endpoint (HR, 1.15; 95%CI, 0.73-1.80; P=.537). The occurrence of the composite endpoint at 2 years was significantly associated with atrial fibrillation, diabetes mellitus, and reduced glomerular filtration rate. Other clinical, imaging, and procedural variables were not significantly associated with adverse outcomes at follow-up.
Predictors of the primary composite endpoint at 2-years of follow-up
| Variable | Univariable | Multivariable | ||
|---|---|---|---|---|
| HR (95%CI) | P | HR (95%CI) | P | |
| Underexpansion | 1.15 (0.73-1.80) | .537 | ||
| Age, y | 1.03 (1.00-1.07) | .089 | ||
| Female sex | 0.79 (0.53-1.18) | .246 | ||
| Hypertension | 1.64 (0.85-3.17) | .140 | ||
| Diabetes mellitus | 1.60 (1.09-2.36) | .017 | 1.59 (1.07-2.35) | .021 |
| CAD | 1.16 (0.72-1.87) | .528 | ||
| Stroke | 0.90 (0.44-1.88) | .784 | ||
| PAD | 1.95 (1.04-3.67) | .038 | ||
| Atrial fibrillation | 1.72 (1.16-2.56) | .007 | 1.63 (1.09-2.43) | .018 |
| COPD | 1.72 (1.02-2.91) | .043 | ||
| eGFR, mL/min/1.73 m2 | 0.98 (0.97-0.99) | <.001 | 0.98 (0.97-0.99) | .002 |
| LVEF | 0.99 (0.98-1.01) | .351 | ||
| Pacemaker | 1.72 (1.07-2.77) | .026 | ||
95%CI, 95% confidence interval; age, age in years; CAD, coronary artery disease; COPD, chronic obstructive pulmonary disease; eGFR, estimated glomerular filtration rate; HR, hazard ratio; LVEF, left ventricular ejection fraction; PAD, peripheral artery disease.
The main findings of our study are as follows: a) the 3-criteria and boundary box methods did not significantly predict clinical outcomes following implantation of the ACURATE neo2 valve in patients with severe aortic stenosis; b) although balloon postdilatation corrected underexpansion in a high proportion of patients, it had no significant clinical impact in terms of reducing follow-up events; and c) the only factors associated with adverse 2-year outcomes were atrial fibrillation, diabetes mellitus, and reduced glomerular filtration rate.
Valve underexpansion, together with aortic valve calcification volume, is a well-recognized phenomenon that generates abnormal turbulent flow across the valve, potentially impairing valve function and contributing to hypoattenuating leaflet thickening.13–17 This latter complication has been associated with an increased risk of stroke or transient ischemic attack, as well as early valve degeneration.18,19 Accordingly, underexpansion should be prevented, identified, and corrected when possible. In balloon-expandable valves, underexpansion may be identified by the presence of an hourglass or flared/conical shape, in contrast to their intended cylindrical design.20 The ACURATE neo2 valve, however, has a more sophisticated design that requires closer attention.
Until recently, most operators performed balloon postdilatation only in the presence of residual gradient or significant paravalvular leak, often disregarding the radiological appearance of the valve frame. In October 2024, however, the IDE trial results were presented at the TCT meeting in Washington, where new angiographic underexpansion criteria (3-criteria method) were proposed to explain the suboptimal clinical performance of this valve compared with contemporary alternatives.10 According to these criteria and the boundary box method,9 1-year event rates were lower in patients with well-expanded valves compared with those with underexpanded valves, and were similar to outcomes in patients treated with contemporary valves. Notably, these differences were even more pronounced in a recent study.11 By contrast, in our study, no differences were observed in follow-up outcomes when underexpansion was evaluated with either method.
Table 4 summarizes the 1-year event rates among all comparative studies evaluating patients with vs without underexpanded ACURATE neo2 valves. In patients with well-expanded valves, 1-year outcomes were similar among the 4 studies. However, considerable variation was observed in the outcomes of patients with underexpanded valves, which may reflect differences in baseline comorbidity burden (eg, the lower prevalence of coronary artery disease and peripheral artery disease in our study). Accordingly, our comparatively healthier population may have been less susceptible to the unfavorable effects of underexpansion, thereby limiting the prognostic value of the proposed angiographic criteria. The study by Kim et al.11 reported a remarkable high incidence of hard endpoints, which contrasts with our findings and those of the IDE trial.9, Consequently, that study reported the largest differences in outcomes between patients with and without underexpanded valves, a finding not replicated in our analysis. Using the 3-criteria method, Toggweiler et al.21 also reported differences in the rate of stroke that became evident at long-term follow-up.
One-year clinical outcomes rates in different studies
| Study | Underexpansion | Combined endpoint | Death from any cause | Stroke | Rehospitalization | ||||||||
|---|---|---|---|---|---|---|---|---|---|---|---|---|---|
| UE, % | E, % | P | UE, % | E, % | P | UE, % | E, % | P | UE, % | E, % | P | ||
| Present study | 154/696 (22.1) | 13.7 | 11.0 | .493 | 9.6 | 6.1 | .264 | 3.3 | 2.5 | .608 | 3.0 | 4.5 | .411 |
| ACURATE IDE9 | 135/624 (21.6) | 18.7 | 11.8 | .04 | 6.8 | 3.7 | .14 | 7.7 | 4.2 | .11 | 5.3 | 5.0 | .89 |
| Kim et al.11 | 84/604 (13.9) | 39.3 | 10.4 | <.001 | 21.4 | 6.2 | <.001 | 19.0 | 3.1 | <.001 | 9.5 | 2.3 | <.001 |
| Toggweiler et al.21 | 130/769 (16.9) | - | - | - | - | - | - | ∼6.0 | ∼3.0 | - | - | - | - |
UE, underexpanded. E, expanded; ∼, rate approximated from Kaplan-Meier curves.
Balloon postdilatation may correct valve underexpansion and was evaluated in all 3 cited studies. Among patients with underexpanded valves, postdilatation corrected frame deformation in 54% and 89% of cases in the IDE trial9 and the study by Kim et al.,11 respectively, in line with the 82% observed in our cohort., While the procedural benefits of balloon postdilatation are clear, it carries potential risks, including aortic or prosthesis damage, increased stroke risk, and valve embolization. In both our registry and the IDE trial, postdilatation did not significantly affect follow-up outcomes, in contrast to the study by Kim, 11 which reported a significant reduction in 1-year clinical events following postdilatation.9,22
In summary, neither the 3-criteria nor the boundary box definition of underexpansion, as proposed in the IDE trial to account for the poorer outcomes of the ACURATE neo2 valve compared with contemporary valves, was associated with significant clinical impact in our study.
LimitationsOur study has several limitations. First, this was an observational, retrospective registry, and device selection was at the discretion of each heart team; therefore, selection bias cannot be excluded. Second, the clinical characteristics of our population differed from those of the IDE trial, which may have limited the reproducibility of its underexpansion criteria in our cohort.9,10
CONCLUSIONSAccording to the criteria analyzed, underexpansion of the ACURATE neo2 valve after implantation in patients with severe aortic stenosis was a frequent finding that could be corrected with balloon postdilatation in most cases. In our cohort, underexpansion at the end of the procedure did not predict follow-up outcomes (death, stroke, or heart failure rehospitalization). Only clinical variables such as atrial fibrillation, diabetes mellitus, and reduced glomerular filtration rate were significantly associated with major adverse events during follow-up
FUNDINGR. González-Manzanares was supported by research contracts (CM22/00259, JR24/00064) and an international mobility grant (MV24/00106) from the Carlos III Health Institute (Madrid, Spain). I. Gallo holds a Río Hortega Contract (CM24/00241) from the Carlos III Health Institute (Madrid, Spain). No specific funding was received for this work.
ETHICAL CONSIDERATIONSThe study was conducted in accordance with the Declaration of Helsinki and was approved by the ethics committee of the coordinating center (Córdoba, Spain; code 6206). Owing to the observational design based on pseudonymized routinely collected data, the requirement for written informed consent was waived. With respect to potential sex/gender bias, the SAGER recommendations were followed where feasible: sex was recorded, reported in baseline characteristics, and included in multivariable models; sex-stratified analyses were not performed because of limited sample size.
STATEMENT ON THE USE OF ARTIFICIAL INTELLIGENCEThis work was prepared by the authors without the use of artificial intelligence.
AUTHORS’ CONTRIBUTIONSM. Pan and S. Ojeda contributed to study design, conceptualization, drafting of the first version of the manuscript, and subsequent revisions. R. González-Manzanares was responsible for methodology, statistical analysis, preparation of figures, and drafting and revising the manuscript. All other authors contributed to the critical review of the manuscript and approved the final version.
CONFLICTS OF INTERESTM. Pan reports lecture fees from Boston Scientific, Medtronic, and Abbott. S. Ojeda has received consulting honoraria from Abbott, speaker honoraria from Edwards Lifesciences, and holds a research grant (PI21/00949) from the Spanish Ministry of Science and Innovation. S. García-Blas has served on advisory boards for Boston Scientific and Medtronic. J.M. de la Torre-Hernández has received grant/research support from Boston Scientific, Abbott, Biotronik, and Amgen, and consulting fees or honoraria from Boston Scientific, Abbott, Medtronic, Biotronik, and Daiichi Sankyo. J.M. Ruiz-Nodar has acted as a proctor for Boston Scientific. J. Sanchis has received speaker fees from Boston Scientific and is editor-in-chief of Revista Española de Cardiología; the journal's editorial procedure to ensure impartial handling of the manuscript was followed. The remaining authors declare no conflicts of interest.
- –
Valve underexpansion has been proposed as a potential explanation for the suboptimal outcomes observed with the ACURATE neo2 transcatheter valve. In a post hoc analysis of the ACURATE IDE trial, angiographic criteria for underexpansion were associated with worse outcomes at 1-year follow-up. However, the clinical relevance of identifying these criteria in patients already treated with this device remains uncertain.
- –
In this independent multicenter registry of patients undergoing ACURATE neo2 valve implantation, valve underexpansion was observed in 22% and 12% of patients according to the 3-criteria and boundary box methods, respectively. Neither method predicted adverse clinical outcomes at follow-up.
Supplementary data associated with this article can be found in the online version, available at https://doi.org/10.1016/j.rec.2025.09.007.
The authors guarantee that the following researchers are responsible for the data published in this study:
Manuel Pan Álvarez-Ossorio. Hospital Universitario Reina Sofía de Córdoba, Córdoba, Spain.
Juan M. Ruiz-Nodar. Hospital General Universitario Dr. Balmis, Alicante, Spain.
José M. de la Torre-Hernández. Hospital Universitario Marqués de Valdecilla, Santander, Spain.
Juan Sanchis. Hospital Clínico Universitario de Valencia, Valencia, Spain.
Raúl Moreno. Hospital Universitario La Paz, Madrid, Spain.
Antonio E. Gómez Menchero. Hospital Universitario Juan Ramón Jiménez, Huelva, Spain.
José F. Díaz. Hospital Universitario Virgen del Rocío, Seville, Spain.
