El aumento de la actividad física puede mejorar el pronóstico en pacientes con fibrilación auricular (FA), pero los datos disponibles son limitados. El objetivo de este estudio fue analizar la asociación entre la actividad física y los eventos adversos mayores en una amplia cohorte europea de pacientes con FA.
MétodosSe realizó un estudio prospectivo, observacional y multicéntrico a gran escala en pacientes europeos con FA de 27 países y 250 centros. Los pacientes autodeclararon sus niveles de actividad física en los 2 años previos, categorizados como nula (inactividad física), ocasional, moderada o intensa. El objetivo primario fue un compuesto de eventos cardiovasculares (CV) adversos mayores y mortalidad por cualquier causa.
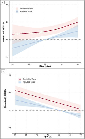
ResultadosSe incluyó un total de 9.525 pacientes con FA (mediana de edad: 71 años, 41% mujeres). En total, el 43% comunicó inactividad física; entre los pacientes activos, el 56,9% refirió actividad ocasional, el 36,5% moderada y el 6,6% intensa. Los pacientes inactivos presentaban una mayor prevalencia de comorbilidades CV y no CV. Durante un seguimiento medio de 728 días, el 16,2% de los pacientes experimentó el objectivo compuesto primario. La actividad física se asoció de manera independiente con un menor riesgo del objetivo primario (HR ajustada=0,68; IC95%, 0,59-0,76), con una reducción progresiva en la incidencia a medida que aumentaban los niveles de actividad. El análisis de interacción mostró que el efecto beneficioso de la actividad física fue consistente en los diferentes subgrupos, sin interacciones significativas.
ConclusionesLa actividad física, incluso en niveles bajos, se asoció con una menor incidencia de eventos CV y mortalidad. Sus beneficios parecen ser independientes de los factores de riesgo CV y las comorbilidades, lo que resalta la importancia de integrar la actividad física como un componente clave en el abordaje integral de la FA.
Palabras clave
Identifíquese
¿Aún no es suscriptor de la revista?
Comprar el acceso al artículo
Comprando el artículo el pdf del mismo podrá ser descargado
Precio: 19,34 €
Teléfono para incidencias
De lunes a viernes de 9h a 18h (GMT+1) excepto los meses de julio y agosto que será de 9 a 15h
