Introducción
José M. de la Torre Hernández
Presidente del Comité Científico del Congreso. Vicepresidente de la SEC
Comités ejecutivo, organizador y científico
Comité de selección de comunicaciones
Listado completo de comunicaciones
Índice de autores
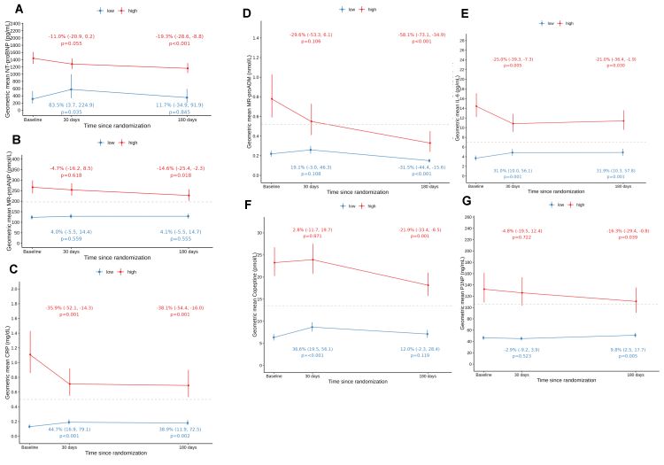
Introducción y objetivos: Dapagliflozina mejora el pronóstico de los pacientes con insuficiencia cardiaca (IC) con independencia de la fracción de eyección del ventrículo izquierdo. Sin embargo, su impacto sobre los mecanismos fisiopatológicos subyacentes aún no se encuentra completamente esclarecido. El objetivo de este estudio es evaluar el efecto de Dapagliflozina sobre distintos biomarcadores circulantes que reflejan vías fisiopatológicas implicadas en la progresión de la IC.
Métodos: El estudio DAPA-MODA (NCT04707352) es un estudio multicéntrico, prospectivo, no aleatorizado y abierto que estudió el efecto de Dapagliflozina en pacientes con IC crónica estable en tratamiento médico óptimo salvo inhibidores del cotransportador sodio-glucosa tipo 2. Como parte de un subanálisis preestablecido, se midieron once biomarcadores circulantes que reflejan cinco vías fisiopatológicas diferentes, basalmente, al mes y a los seis meses. Los puntos de corte para considerar niveles elevados de cada biomarcador concreto se definieron según valores de referencia previamente publicados en poblaciones normales.
Resultados: Se incluyó un total de 156 pacientes (63,5% hombres, 70,5 ± 10,6 años, 67,9% con FEVI > 40%). Basalmente los biomarcadores cardiacos se encontraban elevados en la mayoría de los casos (NT-proBNP 95,5%, TnT-Us 73,5%, MR-proANP 34,8%), seguidos por los parámetros de inflamación (GDF-15 56%, IL-6 y PCR en el 35-40%; si bien sST2 solo en el 8,5%) y estrés neuroendocrino (copeptina 43%), mientras que solo una minoría de pacientes presentó niveles elevados de biomarcadores relacionados con la congestión (MR-proADM 21,1%, CA-125 8,3%) y fibrosis (PINP 14,1%). Como muestra la tabla, el inicio de dapagliflozina se asoció con una reducción significativa de los niveles de NT-proBNP y MR-proADM a los 180 días independientemente de los niveles basales. Se observó un efecto diferencial sobre MR- proANP, PCR, IL-6, copeptina y PINP, con una reducción significativa limitada a los pacientes que presentaban niveles elevados basalmente. No se observó efecto en CA-125, mientras que GDF-15 y sST2 mostraron un aumento paradójico.
|
Cambio en los niveles de biomarcadores a los 30 y 180 días posinicio de dapagliflozina |
||||||
|
Cambio en media ajustada a los 30 días (IC95%) |
% cambio a los 30 días (IC95%) |
p |
Cambio en media ajustada a los 180 días (IC95%) |
% cambio a los 180 días (IC95%) |
p |
|
|
NT-proBNP, pg/ml |
-36,9 (-174; 100) |
-7,90 (-16,2; 1,10) |
0,883 |
-121 (-295, 53,6) |
-17,6 (-26,5; -7,60) |
0,001 |
|
MR-proANP, pmol/l |
12,4 (-3,75; 28,6) |
1,00 (-5,40; 7,80) |
0,762 |
-0,86 (-12,9; 11,2) |
-3,10 (-9,30; 3,60) |
0,351 |
|
TnT-Us, pg/ml |
-0,12 (-1,67; 1,44) |
-0,10 (-5,20; 5,20) |
0,960 |
0,75 (-0,91; 2,41) |
1,10 (-4,30; 6,90) |
0,687 |
|
sST2, ng/ml |
1,10 (-2,75; 4,95) |
1,40 (-4,50; 7,70) |
0,653 |
1,74 (-1,49; 5,00) |
8,30 (1,90; 15,1) |
0,011 |
|
PCR, mg/dl |
0,08 (-0,19; 0,36) |
9,00 (-6,90; 27,6) |
0,283 |
0,03 (-0,16; 0,23) |
5,00 (-12,3; 25,6) |
0,594 |
|
IL-6, pg/ml |
-0,95 (-3,90; 2,00) |
4,40 (-6,60; 16,8) |
0,446 |
5,85 (-3,78; 15,5) |
7,70 (-5,90; 23,2) |
0,280 |
|
GDF15, pg/ml |
313 (113, 514) |
14,2 (7,90; 20,8) |
< 0,001 |
534 (110, 958) |
15,8 (8,50; 23,5) |
< 0,001 |
|
P1NP, ng/ml |
-1,79 (-5,28; 1,70) |
-3,60 (-7,80; 0,70) |
0,102 |
4,96 (-0,66; 10,6) |
6,70 (-0,10; 14,0) |
0,055 |
|
MR-proADM, nmol/l |
0,03 (-0,01; 0,07) |
8,30 (-3,10; 21,1) |
0,159 |
0,01 (-0,08; 0,09) |
-37,0 (-48,6; -22,9) |
< 0,001 |
|
CA-125, U/ml |
-1,25 (-4,03; 1,53) |
-2,60 (-6,80; 1,90) |
0,248 |
1,83 (-4,12; 7,78) |
4,70 (-3,40; 13,6) |
0,262 |
|
Copeptina, pmol/l |
2,49 (1,30; 3,69) |
20,7 (11,9; 30,2) |
< 0,001 |
-0,35 (-1,93; 1,23) |
-5,00 (-14,3; 5,30) |
0,325 |
|
CA-125: antígeno del cáncer 125; GDF15: factor de diferenciación del crecimiento 15; IC: intervalo de confianza; IL-6: Interleucina 6; MR-proADM: región media de proadrenomedulina; MR-proANP: región media de propéptido natriurético auricular; NT-proBNP: prohormona N-terminal del péptido natriurético cerebral; P1NP: propéptido amino terminal del procolágeno tipo 1; sST2: supresor de tumogenicidad soluble 2; TnT-Us: troponina T ultrasensible. |
||||||

Gráficas con evolución de los niveles de biomarcadores seleccionados a los 30 y 180 días de inicio de dapagliflozina, en función de niveles basales normales o altos.
Conclusiones: En pacientes estables con IC crónica bajo tratamiento médico óptimo, el inicio de Dapagliflozina se asoció con mejoría de los niveles de péptidos natriuréticos, biomarcadores inflamatorios, MR-proADM, copeptina y P1NP, particularmente a expensas de aquellos pacientes con niveles basalmente elevados.