Introducción
José M. de la Torre Hernández
Presidente del Comité Científico del Congreso. Vicepresidente de la SEC
Comités ejecutivo, organizador y científico
Comité de selección de comunicaciones
Listado completo de comunicaciones
Índice de autores
Introducción y objetivos: El infarto agudo de miocardio (IAM) complicado con shock cardiogénico (SC) representa una situación crítica que se puede observar en pacientes con enfermedad arterial coronaria (EAC) multivaso. A pesar de la implementación de la angioplastia primaria, la tasa de mortalidad en este escenario sigue siendo alta y la evidencia actual es limitada respecto a la revascularización completa para obtener un mejor pronóstico. El objetivo fue evaluar la relación entre la revascularización completa durante el ingreso hospitalario con el pronóstico a corto y medio plazo en pacientes con EAC multivaso y SC secundario a IAM.
Métodos: Se incluyeron a 1.053 pacientes con SC secundario a IAM del Registro Gallego del infarto de miocardio (REGALIAM). De ellos, se excluyeron 7 pacientes que no recibieron angioplastia primaria. Finalmente, 624 tenían EAC multivaso y se dividieron entre los que recibieron revascularización completa durante el ingreso y los que no. El objetivo primario fue el combinado de eventos cardiovasculares adversos mayores (MACE, sus siglas en inglés) a los 30 días, 6 meses y 1 año. El MACE incluía muerte por cualquier causa, IAM, accidente cerebrovascular, sangrado mayor y hospitalización por insuficiencia cardiaca. También se realizó una regresión multivariante de Cox para dicho objetivo a los 30 días a partir de las variables que se asociaron significativamente en el análisis univariado.
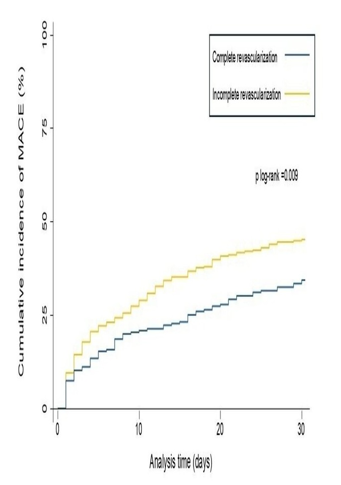
Resultados: Un total de 235 individuos (38,1%) formaban el grupo de revascularización completa y 382 (61,9%) el otro grupo. La mediana de seguimiento fue de 27 (2-883) días, con una mediana de edad de 69 (58-78) años y el 74,2% eran hombres. Los individuos sin revascularización completa presentaron tasas más altas de MACE a los 30 días (52,9 frente a 39,6%; p log rank = 0,009), a los 6 meses (63,4 frente a 48,9%; p = 0,002) y al año (65,5 frente a 51,5%; p = 0,002). Una fracción de eyección del ventrículo izquierdo (FEVI) inicial menor del 40%, niveles iniciales elevados de lactato o la presencia de estenosis aórtica (EA) significativa se asociaron significativamente con peores resultados a los 30 días. Respecto a la revascularización final completa, se observó una ligera tendencia aunque no fue significativa (HR 0,76; IC95% 0,52-1,10; p = 0,146).
|
Regresión multivariante de Cox para el evento combinado a los 30 días |
||
|
Variable |
Hazard ratio (IC95%) |
p |
|
Edad |
1,03 (1,01-1,05) |
< 0,001 |
|
Diabetes mellitus |
1,03 (0,70-1,50) |
0,890 |
|
Hipotensión* |
1,19 (0,82-1,72) |
0,362 |
|
Hiperglucemia† |
1,53 (1,03-2,27) |
0,037 |
|
Lactato (mmol/l) |
1,14 (1,08-1,21) |
< 0,001 |
|
Creatinina^ (mg/dl) |
1,02 (0,88-1,18) |
0,792 |
|
Albúmina^ (g/dl) |
0,88 (0,65-1,19) |
0,406 |
|
FEVI < 40% |
3,20 (2,16-4,76) |
< 0,001 |
|
Estenosis aórtica moderada o grave |
1,41 (0,54-3,71) |
0,481 |
|
Revascularización completa‡ |
0,76 (0,52-1,10) |
0,146 |
|
*Definido como presión arterial sistólica < 90 mmHg o presión diastólica < 60 mmHg en el primer contacto médico. †Definida como glucemia > 200 mg/dl en la primera muestra sanguínea. ^Niveles séricos en la primera muestra sanguínea. ‡Antes del alta hospitalaria. |
||

Curvas de Kaplan Meier de incidencia acumulada de MACE a los 30 días.
Conclusiones: En pacientes con SC secundario a IAM y enfermedad multivaso, la revascularización completa durante la hospitalización inicial no se asoció con un mejor pronóstico.