Introducción
José M. de la Torre Hernández
Presidente del Comité Científico del Congreso. Vicepresidente de la SEC
Comités ejecutivo, organizador y científico
Comité de selección de comunicaciones
Listado completo de comunicaciones
Índice de autores
Introducción y objetivos: La obesidad no es un factor recogido en las ecuaciones de riesgo cardiovascular (RCV). Sin embargo, está estrechamente ligada a su desarrollo, y podría ser por sí misma un índice de RCV a considerar. Nuestro objetivo fue comparar parámetros de obesidad/sobrepeso con el riesgo estimado por ecuaciones clásicas.
Métodos: De forma prospectiva, durante 18 meses (marzo 2017-septiembre 2018), se reclutó a pacientes a los que se había indicado un TAC de arterias coronarias (cardio-TC) en un único centro. Se excluyó del estudio a aquellos con enfermedad cardiovascular previa o con clínica sugerente de síndrome coronario agudo. Se utilizó un TAC de 64 detectores (Brilliance; Philips, Eindhoven) para la cuantificación del calcio coronario y la determinación de placas de ateroma. Se registraron datos antropométricos, los factores de riesgo y se estimó el riesgo mediante las escalas de SCORE y Framingham. Observadores clínicos ciegos a los hallazgos del TAC inicial han registrado los eventos cardiovasculares hasta abril de 2025. Se han utilizado curvas COR para comparar la capacidad del índice de masa (IMC) el cociente cintura/cadera y los tanteos de Framingham y SCORE de cara a predecir la existencia de aterosclerosis coronaria y eventos
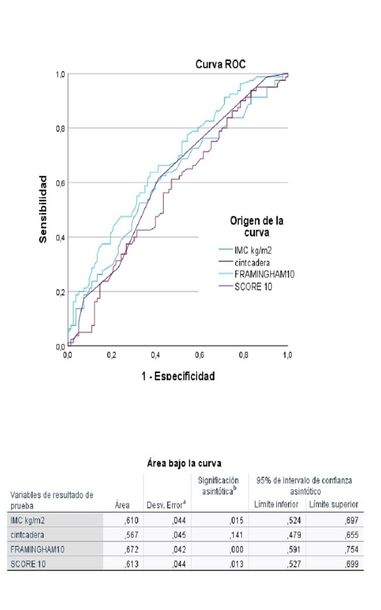
Resultados: Se incluyó a 165 pacientes, 31,5% de ellos varones, con edad media de 60 ± 11 años y un riesgo medio de eventos cardiovasculares a 10 años de 11% (Framingham) y de muerte cardiovascular de 2,1% (SCORE). Se encontraron lesiones coronarias en 82 pacientes (49,7%), y en 24 de ellos (14,5%) fueron consideradas significativas. 5 de ellos fueron revascularizados como consecuencia de los hallazgos del TAC. En un seguimiento medio de 82 ± 21 meses se han registrado 16 eventos cardiovasculares. El análisis de curvas COR mostró que el índice de masa corporal (IMC) y las ecuaciones de Framingham y SCORE clasificaban de forma similar tanto la existencia de placas de ateroma como la aparición de eventos en el seguimiento. EL índice de cintura cadera no mostró una capacidad clasificatoria significativa con respecto a la existencia de lesiones, pero si de eventos.

Curvas COR para la capacidad de predicción de la existencia de aterosclerosis coronaria.
Conclusiones: Aunque no están incluidas en las ecuaciones de cálculo de riesgo cardiovascular, las medidas de obesidad/sobrepeso, particularmente el IMC, tienen una capacidad de predicción de aterosclerosis coronaria y eventos que no ha demostrado ser inferior a la estimación de riesgo clásica en nuestra muestra.