Introducción
José M. de la Torre Hernández
Presidente del Comité Científico del Congreso. Vicepresidente de la SEC
Comités ejecutivo, organizador y científico
Comité de selección de comunicaciones
Listado completo de comunicaciones
Índice de autores
Introducción y objetivos: El tratamiento médico dirigido por guías (TMDG) en pacientes con insuficiencia cardiaca y fracción de eyección reducida (ICFEr) reduce mortalidad y hospitalizaciones. Sin embargo, la evidencia sobre dosis eficaz y seguridad en mujeres es limitada por su infrarrepresentación en estudios. Aun así, las guías clínicas recomiendan un uso equitativo entre sexos. Objetivo: evaluar diferencias en titulación y tolerabilidad farmacológica, cambios clínicos y de autocura tras un programa de seguimiento estructurado en pacientes con ICFEr de debut según sexo.
Métodos: Estudio observacional retrospectivo unicéntrico de 191 pacientes con debut de ICFEr, atendidos ambulatoriamente en nuestra unidad entre marzo/2021-junio/2024 e incluidos en un programa de seguimiento estructurado. Se recopilaron variables demográficas, clínicas, analíticas y ecocardiográficas. Se registraron dosis de tratamiento farmacológico alcanzado, efectos adversos que limitaron la titulación, pruebas realizadas en el seguimiento y resultados de cuestionarios de Kansas City y Autocura. Seguimiento medio: 4,02 ± 1,2 meses.
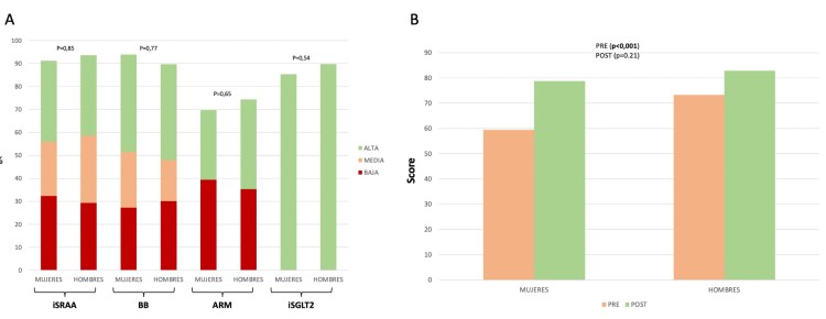
Resultados: La mayoría de pacientes fueron derivados a nuestra unidad tras un ingreso previo por insuficiencia cardiaca. Las mujeres representaron el 17,8% de la muestra. Ambos grupos presentaron factores de riesgo similares salvo tabaquismo. La etiología isquémica predominó en hombres. La fracción de eyección ventricular izquierda (FEVI) inicial fue similar entre grupos, mientras que el NT-proBNP inicial fue más alto en mujeres (Tabla). No hubo diferencias significativas en la introducción de fármacos pronósticos ni en las dosis máximas alcanzadas (Figura 1A). Tampoco existieron diferencias entre efectos adversos de los fármacos. La mejoría en la FEVI fue similar en ambos grupos mientras que la reducción del NT-proBNP fue significativamente mayor en mujeres. No hubo diferencias en mortalidad ni reingresos por IC. Aunque las mujeres presentaban más síntomas al inicio, mejoraron más clínhubo (Figura 1B) y fueron capaces de mejorar más su capacidad de autocura.
|
Características basales de la población y resultados por sexo |
|||
|
Mujeres (n = 34) |
Hombres (n = 157) |
p |
|
|
Características basales |
|||
|
Edad (años, media ± DE) |
66,5 ± 14,7 |
63,5 ± 15,2 |
0,3 |
|
Tabaquismo (n, %) |
12 (34,0) |
118 (75,0) |
0,002 |
|
Hipertensión (n, %) |
18 (53,0) |
88 (57,0) |
0,71 |
|
Diabetes mellitus tipo II (n, %) |
13 (38,0) |
49 (31,6) |
0,46 |
|
Etiología isquémica (n, %) |
3 (8,8) |
77 (49,0) |
< 0,001 |
|
Fibrilación auricular (n, %) |
13 (38,4) |
48 (31,0) |
0,72 |
|
FEVI inicial (%, media ± DE) |
29,7 ± 7,4 |
28,2 ± 7,0 |
0,25 |
|
NT-proBNP Inicial (pg/ml, media, RIQ) |
2.391 (1.000-6.294,0) |
1.423 (707-2.563) |
0,03 |
|
Puntuación KCQO inicial (media ± DE) |
59,5 (24,2) |
73,3 (20,1) |
< 0,001 |
|
Puntuación autocura inicial (media ± DE) |
28,4 ± 10,2 |
26,8 ± 10,4 |
0,43 |
|
Variables de seguimiento y eventos |
|||
|
FEVI final (%, media ± DE) |
40,2 ± 8,8 |
39,6 ± 9,0 |
0,74 |
|
NT-proBNP final (pg/ml, media, RIQ) |
972,5 (241-1.858,0) |
552 (335-1.601) |
0,50 |
|
NT-proBNP Delta (pg/ml, media, RIQ) |
-792 (-3.100 a -163) |
-425 (-1.352 a 2,0) |
0,037 |
|
Puntuación KCQO final (media ± DE) |
78,8 (18,5) |
82,8 (15,4) |
0,21 |
|
Puntuación autocura final (media ± DE) |
18,6 ± 6,3 |
20,4 ± 6,9 |
0,19 |
|
Hospitalizaciones por IC (n, %) |
2 (5,9) |
4 (2,5) |
0,60 |
|
Mortalidad (n, %) |
1 (2,9) |
4 (2,5) |
1,00 |
|
KCQO: Kansas City Questionnaire Overall; DE: desviación estándar; N: número; RIQ: rango intercuartílico; IC: insuficiencia cardiaca. |

1A) Introducción y dosis máxima alcanzada de los fármacos pronósticos según sexo (%) 1B) Cuestionario Kansas City pre/post intervención según sexo.
Conclusiones: En esta cohorte, el uso del TMDG no se ve limitado por el sexo. Sin embargo, las mujeres presentaron mayor mejoría clínica, reducción de NT-proBNP, así como mostraron mayor capacidad de autocura.