Introducción
José M. de la Torre Hernández
Presidente del Comité Científico del Congreso. Vicepresidente de la SEC
Comités ejecutivo, organizador y científico
Comité de selección de comunicaciones
Listado completo de comunicaciones
Índice de autores
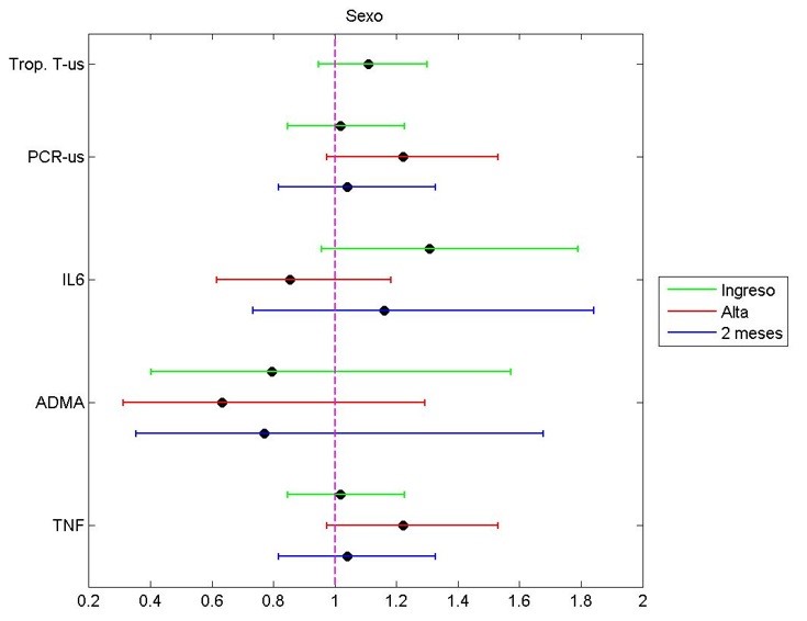
Introducción y objetivos: La carga inflamatoria desempeña un papel clave en la fisiopatología del infarto agudo de miocardio (IAM), y los biomarcadores inflamatorios se han consolidado como herramientas útiles para su evaluación clínica. Sin embargo, su expresión puede estar modulada por características individuales, incluido el sexo biológico, y se dispone de poca información sobre cómo influye esta variable en su concentración. Profundizar en estas diferencias podría contribuir a una mejor estratificación del riesgo y al desarrollo de estrategias terapéuticas más personalizadas. Este estudio analiza la asociación entre el sexo y los niveles de biomarcadores inflamatorios en pacientes con IAM.
Métodos: Estudio observacional que incluyó a 243 pacientes con IAM ingresados en nuestro hospital entre 2022 y 2024. Se midieron los niveles de PCRus, IL-6, TNF-α, y ADMA al ingreso, al alta hospitalaria y a los dos meses. Se utilizaron modelos de regresión logística ajustados para evaluar las asociaciones de los biomarcadores con el sexo.
Resultados: La mediana de edad de los 243 pacientes fue de 67 ± 14 años, con un 70% de varones. Las mujeres que presentaron un IAM eran significativamente mayores que los hombres (70 ± 15 frente a 66 ± 13 años; p = 0,02). No se observaron diferencias significativas en los niveles de biomarcadores inflamatorios entre sexos, ni en fase aguda ni en fase estable (Tabla). Estos resultados se mantuvieron en los modelos de regresión ajustados por edad (Figura).
|
Niveles de biomarcadores inflamatorios según el sexo en fase aguda y estable de pacientes con infarto agudo de miocardio |
|||||
|
Total (N = 243) |
Sexo |
p |
|||
|
Hombre (N = 174) |
Mujer (N = 69) |
|
|||
|
Edad |
67,4 (13,9) |
66,2 (13,4) |
70,4 (14,8) |
0,026 |
|
|
Hombre |
174 (71,6) |
NA |
NA |
|
|
|
PCR-us (mg/dl) |
Ingreso |
3,8 [1,3, 10,2] |
3,6 [1,3, 11,3] |
4,5 [1,3, 9,5] |
0,752 |
|
Alta |
6,9 [3,7, 16,8] |
8,5 [4,2, 18,2] |
5,9 [1,9, 16,4] |
0,081 |
|
|
Seguimiento |
1,9 [0,9, 4,5] |
1,8 [0,9, 4,5] |
2,4 [0,9, 4,5] |
0,798 |
|
|
IL-6 (pg/ml) |
Ingreso |
6,1 [3,0, 12,7] |
7,4 [3,7, 13,6] |
4,3 [2,6, 11,8] |
0,080 |
|
Alta |
5,1 [2,6, 11,4] |
5,1 [2,6, 10,1] |
5,4 [2,7, 14,9] |
0,348 |
|
|
Seguimiento |
2,7 [1,7, 4,5] |
2,7 [1,8, 4,4] |
2,4 [1,6, 5,2] |
0,569 |
|
|
TNF-α (pg/ml) |
Ingreso |
1,1 [0,8, 1,5] |
1,1 [0,8, 1,5] |
1,1 [0,7, 1,6] |
0,860 |
|
Alta |
1,2 [0,9, 1,6] |
1,2 [0,9, 1,6] |
1,3 [0,9, 1,8] |
0,698 |
|
|
Seguimiento |
1,2 [0,8, 1,5] |
1,1 [0,8, 1,5] |
1,2 [0,8, 1,9] |
0,460 |
|
|
ADMA (ng/ml) |
Ingreso |
229,9 [177,3, 344,8] |
224,4 [177,6, 333,8] |
237,1 [177,3, 397,2] |
0,612 |
|
Alta |
253,4 [193,3, 319,8] |
238,9 [187,6, 314,1] |
265,3 [198,8, 405,9] |
0,256 |
|
|
Seguimiento |
231,7 [173,0, 313,3] |
229,7 [166,6, 306,5] |
241,1 [177,9, 327,1] |
0,452 |
|
|
Troponina T-us (ng/ml) |
Ingreso |
311,0 [73,0, 1.360,3] |
430,0 [68,5, 1.536,0] |
211,0 [83,6, 886,8] |
0,200 |

Asociación de los niveles de biomarcadores inflamatorios con el sexo.
Conclusiones: La carga inflamatoria parece ser similar en ambos sexos, lo que sugiere que, en términos de biomarcadores inflamatorios, el sexo no tiene un impacto relevante en la respuesta inflamatoria de los pacientes con IAM.