Introducción
José M. de la Torre Hernández
Presidente del Comité Científico del Congreso. Vicepresidente de la SEC
Comités ejecutivo, organizador y científico
Comité de selección de comunicaciones
Listado completo de comunicaciones
Índice de autores
Introducción y objetivos: El implante de marcapasos (MCP) es una intervención habitual para el tratamiento de bradiarritmias. Es un procedimiento accesible, con una baja tasa de complicaciones, lo cual permite cierta flexibilidad en su indicación en la población anciana. No obstante, existe escasa evidencia sobre la evolución clínica a largo plazo, especialmente en el contexto actual de envejecimiento poblacional y aumento de comorbilidades. El objetivo de este estudio fue analizar la supervivencia a largo plazo y las causas de mortalidad en una cohorte contemporánea de pacientes sometidos a primoimplante de MCP.
Métodos: Estudio de cohorte longitudinal retrospectivo, unicéntrico, que incluyó de forma consecutiva a todos los pacientes con primoimplante de MCP entre 2018 y 2024. Se recogieron datos de mortalidad por año, mortalidad acumulada y distribución por causa: cardiovascular (CV), no CV y de causa desconocida (ausencia de datos clínicos). Para la descripción de la supervivencia, se construyeron curvas de Kaplan-Meier independientes para la interpretación de cada causa de mortalidad.
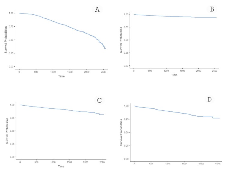
Resultados: Se incluyeron 1223 pacientes en el periodo de 7 años, de los cuales, 307 fallecieron (25%). La mortalidad aumentó a partir del 4.º-5.º año de seguimiento (13,4%-20,2%), siendo la mortalidad de causa no CV el grupo más representativo con porcentajes más altos en los últimos años (14% y 11%). La distribución de mortalidad por grupos fue la siguiente: muerte CV 16,0%, no CV 49,2%, desconocida 34,8%. El análisis de supervivencia mediante curvas de Kaplan-Meier mostró una supervivencia acumulada inferior al 50% a los 7 años. La mortalidad por causa no CV presentó una curva descendente de forma marcada y sostenida, bajando la supervivencia acumulada hasta un 78%. La curva de mortalidad por causa CV muestra un descenso leve y tardío. La mortalidad por causa desconocida fue un factor limitante.
|
Muerte (N = 307) |
Año de seguimiento |
Causa de mortalidad |
Nº total/causa |
% total/causa |
% mortalidad acumulada |
Año de seguimiento |
N.º total/causa |
% total/causa |
% mortalidad acumulada |
|
2018 |
Cardiovascular |
1 |
0,3% |
0,3% |
2024 |
8 |
2,6% |
82,1% |
|
|
No CV |
3 |
1,0% |
1,3% |
|
34 |
11% |
92,8% |
||
|
Desconocida |
5 |
1,6% |
2,9% |
|
20 |
6,5% |
100% |
||
|
2019 |
Cardiovascular |
5 |
1,6% |
4,6% |
|
|
|
|
|
|
No CV |
9 |
2,9% |
7,5% |
|
|
|
|
||
|
Desconocida |
8 |
2,6% |
10,1% |
|
|
|
|
||
|
2020 |
Cardiovascular |
4 |
1,3% |
11,4% |
|
|
|
|
|
|
No CV |
12 |
3,9% |
15,3% |
|
|
|
|
||
|
Desconocida |
13 |
4,2% |
19,5% |
|
|
|
|
||
|
2021 |
Cardiovascular |
12 |
3,9% |
23,5% |
|
|
|
|
|
|
No CV |
16 |
5,2% |
28,7% |
|
|
|
|
||
|
Desconocida |
13 |
4,2% |
32,9% |
|
|
|
|
||
|
2022 |
Cardiovascular |
7 |
2,3% |
35,2% |
|
|
|
|
|
|
No CV |
34 |
11,1% |
46,3% |
|
|
|
|
||
|
Desconocida |
21 |
6,8% |
53,1% |
|
|
|
|
||
|
2023 |
Cardiovascular |
12 |
3,9% |
57,0% |
|
|
|
|
|
|
No CV |
43 |
14,0% |
71,0% |
|
|
|
|
||
|
Desconocida |
27 |
8,8% |
79,8% |
|
|
|
|
||
|
CV: cardiovascular. |

Curvas de supervivencia (Kaplan Meier), en función de: A. Mortalidad por todas las causas; B. Mortalidad causa CV; C. Mortalidad causa no CV; D. Mortalidad causa desconocida.
Conclusiones: Los resultados de la cohorte analizada muestran que la mortalidad atribuible a causa CV es poco frecuente frente a la etiología no CV. Estos hallazgos sugieren que la evolución a largo plazo pueda estar más condicionada por la presencia de comorbilidades, probablemente en relación al aumento de pacientes añosos en la cohorte. Se necesitan análisis adicionales que incluyan variables clínicas para conocer mejor la supervivencia a largo plazo.