Introducción
José M. de la Torre Hernández
Presidente del Comité Científico del Congreso. Vicepresidente de la SEC
Comités ejecutivo, organizador y científico
Comité de selección de comunicaciones
Listado completo de comunicaciones
Índice de autores
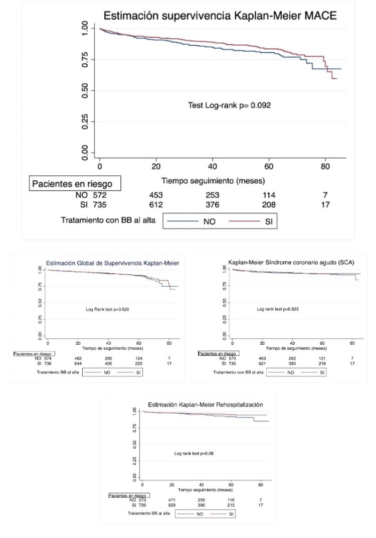
Introducción y objetivos: El uso de bloqueadores beta (BB) tras infarto se apoya en estudios previos a las técnicas de revascularización modernas y de prevención secundaria. Si bien su beneficio en FEVI < 40% ha sido demostrado, en aquellos con función conservada la evidencia es todavía controvertida. Existen ensayos en desarrollo (DANBLOCK, BETAMI o REBOOT) que buscan evaluar su efecto en este subgrupo de pacientes. El objetivo de este trabajo es evaluar el impacto pronóstico del tratamiento bloqueador beta al alta en pacientes con FEVI #1 50% que ingresan bajo sospecha de SCASEST.
Métodos: Se realizó un estudio observacional retrospectivo a partir de una cohorte de 1.325 pacientes, con un seguimiento acumulado de 56.158,6 meses. Se incluyeron pacientes sin tratamiento previo con BB, FEVI #1 50% y en los que se realizó cateterismo por sospecha de SCASEST. Se analizaron las características demográficas y cardiovasculares de la muestra. Se realizó un análisis de supervivencia, definiendo evento adverso (MACE) como: muerte por cualquier causa, SCA recurrente y/u hospitalización por IC. Se empleó un modelo de regresión de Cox para evaluar el efecto de los bloqueadores beta sobre la incidencia del endpoint combinado y, adicionalmente, para cada uno de sus componentes individuales, utilizando la prueba de log rank para la comparación de curvas de supervivencia. Se realizó un análisis univariante mediante regresión de Cox para identificar variables con potencial asociación a MACE (p < 0,10). Las variables seleccionadas fueron incluidas en modelos multivariables anidados, comparados mediante el test de razón de verosimilitudes. El modelo final fue definido como el más parsimonioso sin pérdida significativa de ajuste.
Resultados: Los pacientes con tratamiento bloqueador beta al alta no presentaron una incidencia de MACE significativamente menor respecto a los pacientes sin dicho tratamiento (p = 0,09). Tampoco se observaron diferencias estadísticamente significativas al analizar los diferentes componentes del objetivo por separado. El modelo multivariable final incluyó las variables edad, DM, ERC, EAC previa, número de vasos enfermos y revascularización completa para la predicción de MACE.
|
Análisis univariante y multivariante |
|||||||
|
Análisis univariante |
Análisis multivariante* |
||||||
|
Variable |
HR |
p |
IC95% |
Variable |
HR |
p |
IC95% |
|
Edad |
1,05 |
< 0,01 |
1,04-1,07 |
Edad |
1,04 |
< 0,01 |
1,02-1,05 |
|
Sexo |
0,92 |
0,59 |
0,69-1,23 |
|
|
|
|
|
IMC |
1,01 |
0,38 |
0,98-1,04 |
|
|
|
|
|
HTA |
1,83 |
< 0,01 |
1,36-2,47 |
|
|
|
|
|
DM |
1,79 |
< 0,01 |
1,34-2,40 |
DM |
1,39 |
0,03 |
1,03-1,88 |
|
Dislipemia |
1,47 |
0,01 |
1,10-1,96 |
|
|
|
|
|
Tabaco |
1,03 |
0,68 |
0,88-1,22 |
|
|
|
|
|
EAC previa |
2,20 |
< 0,01 |
1,54-3,14 |
EAC previa |
1,69 |
< 0,01 |
1,17-2,44 |
|
FA/Flutter previo |
2,53 |
< 0,01 |
1,61-3,97 |
|
|
|
|
|
ERC previa |
3,30 |
< 0,01 |
2,32-4,68 |
ERC previa |
2,14 |
< 0,01 |
1,47-3,11 |
|
FEVI |
0,96 |
0,01 |
0,93-0,99 |
|
|
|
|
|
MDM pico |
1,00 |
0,59 |
0,99-1,00 |
|
|
|
|
|
BB post |
0,73 |
0,03 |
0,56-0,97 |
|
|
|
|
|
Vasos enfermos |
1,28 |
< 0,01 |
1,12-1,46 |
Vasos enfermos |
1,19 |
< 0,01 |
1,05-1,36 |
|
ICP completa |
0,59 |
< 0,01 |
0,44-0,80 |
ICP completa |
0,70 |
0,03 |
0,52-0,96 |
|
*Solo se incluyen las variables significativas del análisis multivariante; HR: hazard ratio; p: valor de significación estadística; IC95%: intervalo de confianza al 95%; IMC: índice de masa corporal; HTA: hipertensión arterial; DM: diabetes mellitus; EAC: enfermedad arterial coronaria; FA: fibrilación auricular; ERC: enfermedad renal crónica; FEVI: fracción de eyección del ventrículo izquierdo; MDM: marcadores de daño miocárdico; BB: bloqueador beta; ICP: intervención coronaria percutánea. |
|||||||

Gráficas Kaplan-Meier para MACE y sus componentes individuales.
Conclusiones: En pacientes sin bloqueador beta previo y FEVI #1 50% en los que se realizó un cateterismo por sospecha de SCASEST, el uso de bloqueadores beta no se asoció con una menor incidencia de MACE, tampoco de ninguno de sus componentes individuales.