Introducción
José M. de la Torre Hernández
Presidente del Comité Científico del Congreso. Vicepresidente de la SEC
Comités ejecutivo, organizador y científico
Comité de selección de comunicaciones
Listado completo de comunicaciones
Índice de autores
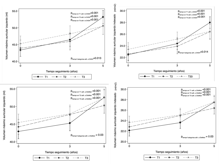
Introducción y objetivos: El objetivo fue analizar la asociación entre dos patrones de alimentación saludable (dieta mediterránea -DieMed- y Dietary Approaches to Stop Hypertension -DASH-) y cambios en la morfología y función aurícular izquierda (AI) a 5 años de seguimiento en adultos con alto riesgo cardiovascular.
Métodos: Se incluyeron 517 participantes (media 65 años, 40% mujeres), con sobrepeso/obesidad y síndrome metabólico, sin enfermedad cardiovascular previa. La dieta se evaluó anualmente mediante un cuestionario de frecuencia de consumo de alimentos. Se estudió con ecocardiografía speckle-tracking la estructura de la AI (volumen máximo auricular izquierdo (VAI) y el índice de VAI) y su función (fracción de vaciado AI, el índice de función AI, el strain longitudinal global AI (reservorio, conducto y de contracción) y el índice de rigidez auricular) basalmente y tras 3 y 5 años, con un protocolo estandarizado y lectura centralizada. Se emplearon modelos mixtos multivariables y se evaluó la interacción entre la adhesión a la dieta en terciles (T) y el tiempo.
Resultados: Hubo diferencias significativas entre grupos de adhesión a la DieMed y la progresión del remodelado auricular a lo largo del tiempo [diferencia a 5 años en volumen indexado T3 frente a T1 -1,5 (IC95%: -3,1 a 0,2); por cada 2 puntos más -0,5 (IC95%: -1,0 a -0,1); p interacción = 0,03; y T3 frente a T1 -2,6 (IC95%: -5,7; 0,5); por cada 2 puntos más -0,9 (IC95%: -1,8 a -0,1) en VAI, p interacción = 0,03)]. Asimismo, una mayor adhesión a la dieta DASH, mostró una menor progresión del remodelado auricular a lo largo del tiempo (diferencia T3 frente a T1 a 5 años en volumen indexado -2,5 (IC95%: -4,0 a -0,9); p interacción = 0,014 y -4,7 (IC95%: -7,6 a -1,7) en VAI, p interacción = 0,013).

Volumen de aurícula izquierda según adhesión a DieMed y dieta DASH a lo largo del seguimiento.
Conclusiones: Tanto una mayor adhesión a la DieMed como una mayor adhesión a la dieta DASH se asociaron con menor progresión del remodelado auricular izquierdo. Estos hallazgos refuerzan el papel de ambos patrones en la prevención primaria de la dilatación auricular izquierda y, por tanto, de la fibrilación auricular.