Introducción
José M. de la Torre Hernández
Presidente del Comité Científico del Congreso. Vicepresidente de la SEC
Comités ejecutivo, organizador y científico
Comité de selección de comunicaciones
Listado completo de comunicaciones
Índice de autores
Introducción y objetivos: La insuficiencia cardiaca con fracción de eyección reducida (ICFEr) es una condición con alta morbimortalidad. En presencia de bloqueo de rama izquierda (BRI), las diferencias según el sexo pueden influir en la presentación clínica, respuesta terapéutica y pronóstico. Sin embargo, esta estratificación ha sido poco explorada en pacientes con ICFEr de novo. Objetivos: analizar las diferencias clínicas, terapéuticas y pronósticas según el sexo en pacientes con ICFEr de novo y BRI al diagnóstico.
Métodos: Estudio observacional retrospectivo de 587 pacientes consecutivos ingresados por ICFEr (FEVI #2 40%) de novo en dos hospitales universitarios (Hospital Universitari i Politècnic La Fe de Valencia y Hospital Clínico Universitario de Santiago de Compostela). De ellos, 126 (21,5%) presentaban BRI en el electrocardiograma al ingreso. Este subgrupo se estratificó por sexo (90 hombres y 36 mujeres). Se analizaron características clínicas, ecocardiográficas y tratamientos al alta y tras titulación farmacológica. La mediana de seguimiento fue de 20 meses (RIQ: 11-33). Se empleó el método de Kaplan-Meier para el análisis de eventos clínicos, considerando p < 0,05 como estadísticamente significativo.
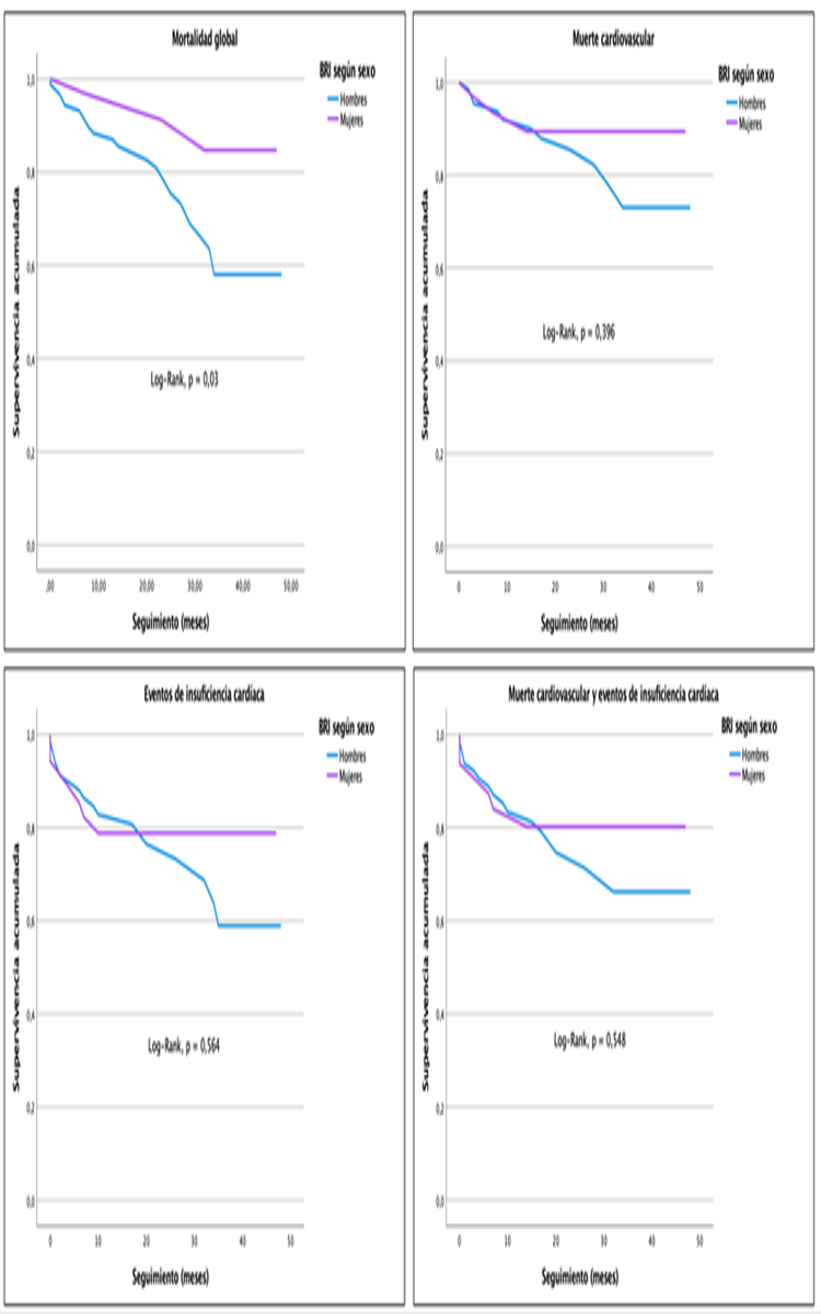
Resultados: No se observaron diferencias significativas en edad, comorbilidades cardiovasculares, FEVI o ritmo al alta según el sexo. Sin embargo, los hombres presentaron mayor duración del QRS y peor función renal. La etiología isquémica fue más prevalente en hombres. Tras la titulación, las mujeres recibieron con mayor frecuencia antagonistas del receptor mineralocorticoide, sin diferencias en el resto de terapias modificadoras del pronóstico ni en la tasa de dispositivos TRC-P/D (Tabla). En el análisis pronóstico, las mujeres presentaron una menor mortalidad global. Aunque no se alcanzó significación estadística en la muerte cardiovascular, eventos de insuficiencia cardiaca ni en el combinado de ambos, se observó una tendencia favorable en el grupo femenino en todas estas variables (Figura).
|
Características basales y tras titulación farmacológica en pacientes con insuficiencia cardiaca de novo, FEVI #2 40% y bloqueo de rama izquierda (BRI), estratificados según sexo |
||||
|
Variable |
Total (n = 126) |
Hombres (n = 90) |
Mujeres (n = 36) |
p |
|
Edad (años) |
72 ± 13 |
72 ± 13 |
72 ± 13 |
0,894 |
|
Tabaquismo |
36 (28,6%) |
30 (33,3%) |
6 (16,7%) |
0,061 |
|
Hipertensión arterial |
86 (68,3%) |
63 (70,0%) |
23 (63,9%) |
0,506 |
|
Diabetes mellitus |
43 (34,1%) |
33 (36,7%) |
10 (27,8%) |
0,342 |
|
Dislipemia |
77 (61,1%) |
56 (62,2%) |
21 (58,3%) |
0,686 |
|
Enfermedad renal crónica |
34 (27,0%) |
27 (30,0%) |
7 (19,4%) |
0,228 |
|
Marcapasos previo |
12 (9,5%) |
11 (12,2%) |
1 (2,8%) |
0,103 |
|
Etiología isquémica |
38 (30,4%) |
34 (37,8%) |
4 (11,4%) |
0,006* |
|
QRS ingreso (ms) |
144 ± 25 |
147 ± 20 |
135 ± 32 |
0,023* |
|
FEVI al alta |
28,0 ± 8,4 |
28,2 ± 8,8 |
27,4 ± 7,3 |
0,626 |
|
RS al alta |
88 (70,4%) |
61 (68,5%) |
27 (75,0%) |
0,426 |
|
FGe al alta (ml/min) |
56,0 ± 23,0 |
52,9 ± 22,8 |
64,0 ± 21,7 |
0,017* |
|
NT-proBNP alta (pg/ml) |
4.225,2 ± 6.799,4 |
4.972,9 ± 7.786,5 |
2.438,9 ± 2.815,5 |
0,086 |
|
NT-proBNP seguimiento (pg/ml) |
2.407,7 ± 4.775,0 |
2.899,1 ± 5.652,4 |
1.390,9 ± 1.657,6 |
0,191 |
|
FGe seguimiento (ml/min) |
70,7 ± 101,97 |
72,6 ± 122,6 |
66,5 ± 19,9 |
0,782 |
|
Ritmo sinusal seguimiento |
81 (76,4%) |
56 (76,7%) |
25 (75,8%) |
0,381 |
|
QRS seguimiento (ms) |
138 ± 26 |
140 ± 28 |
135 ± 21 |
0,420 |
|
FEVI seguimiento (%) |
41,8 ± 14,8 |
42,6 ± 16,1 |
40,0 ± 11,0 |
0,503 |
|
TRC-P/D seguimiento |
21 (17,5%) |
16 (18,9%) |
5 (14,3%) |
0,598 |
|
FEVI: fracción de eyección del ventrículo izquierdo; RS: ritmo sinusal; FGe: filtrado glomerular estimado; TRC-P/D: terapia de resincronización cardiaca con marcapasos/desfibrilador. |
||||

Análisis de supervivencia según sexo y presencia de BRI al diagnóstico en insuficiencia cardiaca de novo con fracción de eyección reducida.
Conclusiones: En pacientes con ICFEr de novo y BRI, las mujeres mostraron mejor función renal, menor prevalencia de etiología isquémica y menor duración del QRS. Durante el seguimiento, presentaron una menor mortalidad global y una tendencia favorable en el resto de eventos clínicos. Estos hallazgos refuerzan el valor del sexo como factor pronóstico en este subgrupo específico de pacientes.