Introducción
José M. de la Torre Hernández
Presidente del Comité Científico del Congreso. Vicepresidente de la SEC
Comités ejecutivo, organizador y científico
Comité de selección de comunicaciones
Listado completo de comunicaciones
Índice de autores
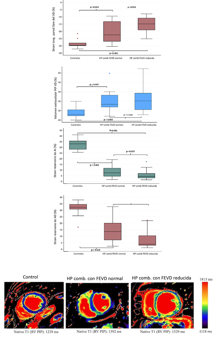
Introducción y objetivos: La hipertensión pulmonar (HP) asociada a cardiopatía izquierda tiene mal pronóstico, especialmente cuando coexisten la HP combinada poscapilar y precapilar con disfunción del ventrículo derecho (VD). Este estudio evaluó parámetros de resonancia magnética cardiaca (RMC) capaces de identificar signos tempranos de afectación de VD antes de que la disfunción esté instaurada.
Métodos: Se realizó un estudio de casos y controles con tres grupos, incluyendo pacientes con diagnóstico invasivo de HP combinada, divididos según la fracción de eyección del ventrículo derecho (FEVD) por RMC: normal (#1 53 % en hombres, #1 55 % en mujeres) y reducida (< 53 % y < 55 %, respectivamente), comparados con un grupo control de adultos sanos de mediana edad. La RMC incluyó secuencias cine y mapeo T1 para cuantificar el volumen extracelular (VEC) en los puntos de inserción del VD, como marcador de fibrosis miocárdica. Se midió el strain de la pared libre del VD y del reservorio de la aurícula derecha (AD) por feature tracking. Las variables categóricas se compararon con la prueba de χ2 y las cuantitativas con la prueba de Kruskal-Wallis, seguida del análisis post hoc de Dunn con corrección de Holm-Bonferroni.
Resultados: Se incluyeron 50 pacientes con HP combinada pos- y precapilar (14 con FEVD normal y 36 con FEVD reducida) y 10 controles sanos. En comparación con los controles, los pacientes con HP eran de mayor edad, presentaban más factores de riesgo cardiovascular y mayor prevalencia de cardiopatía izquierda. Aquellos con FEVD reducida mostraron un perfil hemodinámico menos favorable. De forma precoz, antes de la disfunción del VD y sin dilatación significativa, los pacientes con HP ya presentaban deterioro del strain longitudinal del VD y de la AD, y mayor volumen extracelular (VEC) en el punto de inserción posterior del VD (Figura). Tras ajustar por sexo y edad, la HP con FEVD normal se asoció de forma independiente con el strain del VD (β = 8,6; p = 0,001), el strain de AD (β = -15,2; p < 0,001) y la fracción de VEC (β = 6,3; p = 0,038). En fases avanzadas, se observó peor acoplamiento VD-arteria pulmonar, junto con mayor dilatación y peor función sistólica.
|
|
Controles sanos (1) (N = 10) |
HP comb. con FEVD normal (2) (N = 14) |
HP comb. con FEVD reducida (3) (N = 36) |
p (global) |
p (1 frente a 2) |
|
Edad, años |
59 [58;63] |
75 [71;77] |
70 [63;74] |
< 0,001 |
< 0,001 |
|
Sexo fem. |
5 (50,0%) |
13 (92,9%) |
24 (66,7%) |
0,057 |
0,051 |
|
IMC |
27,0 [25,3;28,3] |
29,3 [26,0;30,5] |
29,2 [26,9;33,6] |
0,24 |
0,335 |
|
Evaluación hemodinámica invasiva |
|||||
|
PAPm, mmHg |
/ |
34,5 [31,0;42,0] |
43,0 [36,0;52,0] |
0,013 |
/ |
|
PCP, mmHg |
/ |
19,5 [17,0;23,0] |
23,0 [20,0;26,0] |
0,06 |
/ |
|
PAD, mmHg |
/ |
8,0 [7,0;11,0] |
14,0 [10,5;16,0] |
< 0,001 |
/ |
|
RVP, UW |
/ |
3,8 [3,1;4,2] |
4,8 [4,0;7,1] |
0,009 |
/ |
|
GC, L/min |
/ |
4,1 [3,6;5,2] |
4,1 [3,4; 5,0] |
0,65 |
/ |
|
RMC (morfología y función) |
|||||
|
FEVD, % |
64 [61;66] |
57 [56; 61] |
44 [39;48] |
< 0,001 |
0,13 |
|
VTDVDi,ml/m2 |
71,2 [63,1;79,7] |
64,8 [54,0; 81,5] |
90,7 [72,7;106,4] |
0,004 |
0,329 |
|
VTSVDi,ml/m2 |
26,6 [22,4;28,7] |
27,9 [23,4;33,0] |
50,9 [40,8; 64,4] |
< 0,001 |
0,315 |
|
FEVI, % |
68 [66;70] |
64 [61;68] |
56 [48;62] |
< 0,001 |
0,068 |
|
VolAD i, ml/m2 |
42,1 [35,2;46,9] |
43,6 [29,7;51,5] |
46,9 [35,3;55,2] |
0,592 |
0,463 |
|
VolAI i, ml/m2 |
34,8 [33,0;43,5] |
59,6 [53,9;72,0] |
69,7 [58,1;92,2] |
< 0,001 |
0,011 |
|
Acop.VD-AP |
0,57 [0,50;0,64] |
0,75 [0,64;0,78] |
1,27 [1,08;1,58] |
< 0,001 |
0,118 |
|
RMC (Strain- feature tracking) |
|||||
|
Strain long. pared libre VD |
-29,7 [-30,0;-28,0] |
-22,5 [-27,0;-13,2] |
-14,9 [-19,2;-10,8] |
< 0,001 |
0,014 |
|
Strain AD (reservorio) |
32,3 [30,7;34;6] |
13,5 [7,0; 20,1] |
3,8 [2,9;10,5] |
< 0,001 |
0,01 |
|
Strain AI (reservorio) |
33,1 [28,1; 35,7] |
7,5 [4,4; 11,7] |
4,4 [2,9; 7,1] |
< 0,001 |
0,002 |
|
RMC (VEC) |
|||||
|
VEC PIA VD, % |
29,8 [28,4;32,1] |
33,3 [27,7;34,7] |
32,1 [28,1;38,7] |
0,356 |
0,319 |
|
VEC PIP VD, % |
28,0 [27,2;30,5] |
33,3 [31,8;38,2] |
35,1 [30,4;39,3] |
0,004 |
0,007 |
|
Los datos se expresan en forma de recuento (%) o mediana [rango intercuartílico]. El valor de p (1 frente a 2) hace referencia al análisis post hoc entre esos dos grupos, al que se ha aplicado la corrección de Holm-Bonferroni. AD: aurícula derecha; AI: aurícula izquierda; AP: arteria pulmonar; FEVD/FEVI: fracción de eyección de ventrículo derecho/izquierdo; GC: gasto cardiaco (por termodilución); HP comb.: hipertensión pulmonar combinada poscapilar y precapilar; IMC: índice de masa corporal; PAD: presión auricular derecha; PAPm: presión arterial pulmonar media; PCP: presión capilar pulmonar; PIA: punto de inserción anterior; PIP: punto de inserción posterior; RMC: resonancia magnética cardiaca; RVP: resistencia vascular pulmonar; UW: unidades Wood; VD: ventrículo derecho; VEC: volumen extracelular; VolAD i/AI i: volumen indexado de AD/AI; VTDVDi: volumen telediastólico indexado del VD; VTSVDi: volumen telesistólico indexado del VD. *Fórmula del acoplamiento VD-AP: Volumen telesistólico del VD/volumen latido del VD. |
|||||

Conclusiones: La disminución del strain del VD y de la AD, junto con la expansión del VEC en el punto de inserción posterior del VD, podrían representar marcadores precoces de maladaptación del VD en pacientes con HP combinada poscapilar y precapilar.