Introducción
José M. de la Torre Hernández
Presidente del Comité Científico del Congreso. Vicepresidente de la SEC
Comités ejecutivo, organizador y científico
Comité de selección de comunicaciones
Listado completo de comunicaciones
Índice de autores
Introducción y objetivos: La hipertensión arterial pulmonar (HAP) ya no es una enfermedad exclusiva de adultos jóvenes. El número de pacientes mayores con HAP ha crecido de forma vertiginosa. Datos del REHAP de 2012, la edad media al diagnóstico era de 46 años en HAP idiopática, alcanzando hoy 60 años de mediana. Este cambio demográfico ha desatado un debate inevitable: ¿es la misma HAP o estamos ante una entidad distinta en el anciano? ¿Influye la edad por sí sola o es el reflejo de un fenotipo más complejo, cargado de comorbilidades y con un perfil terapéutico distinto? Este estudio explora el impacto clínico, terapéutico y pronóstico de la edad en pacientes con HAP en España.
Métodos: Se seleccionaron pacientes con HAP idiopática y asociada a enfermedad del tejido conectivo entre 2014-2023 del REHAP. Se dividieron en dos grupos: jóvenes (#2 70 años) y mayores (> 70). Se analizaron características basales, perfil de riesgo, tratamiento inicial y en seguimiento, y pronóstico.
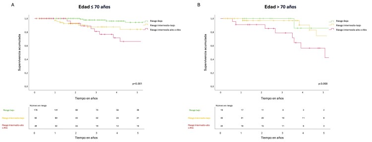
Resultados: Se incluyeron 435 pacientes, el 21,1% mayores de 70 años. Las características basales se recogen en la tabla. Sexo, clase funcional y NT-proBNP fueron similares; los mayores presentaron menor capacidad funcional por TM6M, pero perfil hemodinámico más favorable, sin diferencias en presión capilar pulmonar. Las comorbilidades fueron más frecuentes en mayores, duplicando los que tenían #1 3 al diagnóstico (p < 0,001). No hubo diferencias en el perfil de riesgo inicial. La monoterapia oral fue el tratamiento más frecuente en mayores, siendo excepcional las prostaciclinas sistémicas. En seguimiento, el perfil de bajo riesgo es el predominante en el paciente joven (56,9 frente a 22,8% en mayores), siendo el perfil intermedio-bajo más frecuente en mayores (52,2%; p < 0,001), que podría explicarse por mantener la monoterapia (20,1 frente a 41,6%; p < 0,001). En análisis de supervivencia, la estratificación de riesgo en seguimiento fue útil en jóvenes (p < 0,001), pero no distinguió entre bajo e intermedio-bajo en pacientes mayores (p = 0,068). No hubo diferencias según número de comorbilidades, pero la edad > 70 sí tuvo impacto pronóstico (p = 0,007) (Figura).
|
Características basales |
||||
|
|
Total n = 435 |
#2 70 años |
> 70 años |
p |
|
n = 343 (78,9%) |
n = 92 (21,1%) |
|||
|
Edad (años) |
57 ± 15 |
52 ± 13 |
75 ± 4 |
|
|
Sexo femenino |
321 (73,8%) |
249 (72,6%) |
72 (78,3%) |
0,687 |
|
Clase funcional OMS, n (%) |
I,II 202 (46,4%) |
I,II 162 (47,2%) |
I,II 40 (43,5%) |
0,746 |
|
III, 218 (50,1%) |
III, 168 (49,0%) |
III, 50 (54,3%) |
||
|
IV, 15 (3,4%) |
IV, 13 (3,8%) |
IV, 2 (2,2%) |
||
|
TM6M (m) |
374 ± 121 |
395 ± 116 |
296 ± 108 |
< 0,001 |
|
Perfil hemodinámico |
||||
|
PAD (mmHg) |
8 ± 4,5 |
8,2 ± 4,6 |
7,0 ± 3,7 |
0,008 |
|
PAPm (mmHg) |
45 ± 14,6 |
46,7 ± 14,6 |
38,5 ± 12,4 |
< 0,001 |
|
PCP (mmHg) |
9,5 ± 3,6 |
9,5 ± 3,7 |
9,4 ± 3,2 |
0,404 |
|
IC (l/min/m2) |
2,4 ± 0,7 |
2,4 ± 0,7 |
2,3 ± 0,6 |
0,098 |
|
RVP (uW) |
9,4 ± 5,3 |
9,8 ± 5,4 |
7,8 ± 4,4 |
< 0,001 |
|
SvO2 (%) |
65,8 ± 8,7 |
65,8 ± 9,2 |
66,0 ± 7,2 |
0,437 |
|
FVC |
88,6 ± 20,2 |
88,2 ± 20,5 |
90,3 ± 19,3 |
0,195 |
|
DLCO (%) |
54,1 ± 21,7 |
55,8 ± 22,4 |
48,0 ± 17,6 |
0,001 |
|
TAPSE/PSAP (mm/mmHg) |
0,28 ± 0,15 |
0,28 ± 0,15 |
0,30 ± 0,14 |
0,104 |
|
NT-proBNP (ng/l) |
789 [2.330] |
868 [2.474] |
548 [1.999] |
0,366 |
|
Clasificación HAP |
0,002 |
|||
|
Idiopática |
248 (57,0%) |
209 (60,9%) |
39 (42,4%) |
|
|
Asociada a enfermedad del tejido conectivo |
187 (43,0%) |
134 (39,1%) |
53 (57,6%) |
|
|
Comorbilidades |
||||
|
Historia tabaquismo |
194 (44,6%) |
165 (48,1%) |
29 (31,5%) |
0,006 |
|
Hipertensión |
166 (38,2%) |
105 (30,6%) |
61 (66,3%) |
< 0,001 |
|
IMC #1 30 Kg/m2 |
104 (23,9%) |
81 (23,6%) |
23 (25,0%) |
0,89 |
|
ERC (FG ecuación CKD-EPI < 60 ml/min/1,73 m2) |
67 (15,4%) |
35 (10,2%) |
32 (34,8%) |
< 0,001 |
|
Diabetes mellitus |
67 (15,4%) |
46 (13,4%) |
21 (22,8%) |
0,04 |
|
Fibrilación auricular |
36 (8,3%) |
20 (5,8%) |
16 (17,4%) |
0,001 |
|
Enfermedad arterial coronaria |
28 (6,4%) |
22 (6,4%) |
6 (6,5%) |
1 |
|
Número de comorbilidades |
< 0,001 |
|||
|
0 comorbilidades |
120 (27,6%) |
106 (30,9%) |
14 (15,2%) |
|
|
1-2 comorbilidades |
221 (50,8%) |
175 (51,0%) |
46 (50,0%) |
|
|
#1 3 comorbilidades |
94 (21,6%) |
62 (18,1%) |
32 (34,8%) |
|
|
Perfil de riesgo ESC |
0,529 |
|||
|
Bajo riesgo |
177 (40,7%) |
141 (41,1%) |
36 (39,1%) |
|
|
Intermedio riesgo |
246 (56,6%) |
194 (56,6%) |
52 (56,5%) |
|
|
Alto riesgo |
12 (2,8%) |
8 (2,3%) |
4 (4,3%) |
|
|
Inicio de tratamiento (primer mes tras el diagnóstico) |
0,001 |
|||
|
Monoterapia oral |
150 (38,5%) |
108 (35%) |
42 (51,9%) |
|
|
Doble terapia oral |
178 (45,6%) |
141 (45,6%) |
37 (45,7%) |
|
|
Triple terapia oral |
9 (2,3%) |
9 (2,9%) |
0 (0,0%) |
|
|
Análogos prostaciclinas con/sin tratamiento oral |
53 (13,6%) |
51 (16,5%) |
2 (2,5%) |
|
|
CKD-EPI: Chronic Kidney Disease Epidemiology Collaboration; DLCO: capacidad de difusión pulmonar del monóxido de carbono; ERC: enfermedad renal crónica; FG: filtrado glomerular; FVC: capacidad vital forzada; IC: índice cardiaco; IMC: índice de masa corporal; NT-proBNP: fragmento N-terminal de péptido natriurético cerebral; OMS: organización mundial de la salud; PAD: presión auricular derecha; PAPm: presión arterial pulmonar media; PCP: presión capilar pulmonar; RVP: resistencia vascular pulmonar; TAPSE/PSAP: excursión plano sistólico anillo tricuspídeo/presión sistólica arteria pulmonar; TM6M: test de la marcha 6 minutos. |
||||

Análisis de supervivencia Kaplan-Meier según perfil de riesgo en el seguimiento en distintos grupos de edad.
Conclusiones: La HAP en pacientes mayores de 70 años presenta perfil clínico diferente con menor agresividad terapéutica y diferencias pronósticas. En este grupo, la edad se consolida como la principal comorbilidad, condicionando el tratamiento y evolución clínica.