Introducción
José M. de la Torre Hernández
Presidente del Comité Científico del Congreso. Vicepresidente de la SEC
Comités ejecutivo, organizador y científico
Comité de selección de comunicaciones
Listado completo de comunicaciones
Índice de autores
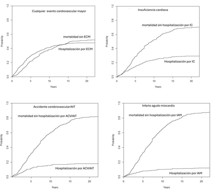
Introducción y objetivos: Existe información limitada sobre la carga de morbilidad cardiovascular mayor en pacientes ancianos con síndromes coronarios crónicos (SCC) a lo largo de la vida. Nuestro objetivo fue investigar la incidencia acumulada de hospitalizaciones por eventos cardiovasculares mayores (ECM) a lo largo de la vida en pacientes de 75 años o más con SCC e identificar predictores clínicos de dichos eventos.
Métodos: Se incluyó en un estudio prospectivo a todos los pacientes ambulatorios consecutivos con SCC atendidos entre enero 2000 y diciembre 2008 en un hospital terciario, y se les realizó seguimiento hasta su fallecimiento. Se registraron todos los ECM que precisaron un ingreso (hospitalizaciones por insuficiencia cardiaca [IC], infarto agudo de miocardio [IAM] e ictus/accidente isquémico transitorio [AIT]) y se calculó la incidencia acumulada de cada evento y la combinación de todos ellos, considerando la muerte sin ingreso como evento competitivo. Se buscaron predictores de eventos univariantes y multivariantes (Cox).
Resultados: De 421 pacientes incluidos, 414 habían fallecido al 31 diciembre-2024 constituyendo la muestra del estudio. La edad media fue 79 ± 4 años, 36% mujeres. Tras un seguimiento de 22 años (mediana 7 años, p25-75 de 4-11 años), 198 pacientes (48%) presentaron al menos un ECM (122 pacientes tuvieron 209 hospitalizaciones por IC, 49 pacientes sufrieron 58 IAM y 74 pacientes ingresaron por 81 episodios de ictus/AIT). Las incidencias acumuladas a los 5, 10 y 20 años fueron del 30%, 41% y 48% para cualquier evento, y la de los eventos por separado se describen en la figura. Diversas variables clínicas y de tratamiento se asociaron con la incidencia del primer evento (Tabla). En el análisis multivariante, los predictores independientes de sufrir una hospitalización por ECM fueron la hipertensión (HR: 1,58 [IC95%: 1,15-2,18], p = 0,005), la diabetes (HR:1,38 [1,03-1,85], p = 0,031), la IC previa (HR: 2,52 [1,59-4,01], p = 0,000) y la fibrilación auricular (HR: 1,68 [1,13-2,50], p = 0,011).
|
Variables asociadas con la incidencia del primer MACE en el análisis univariable |
|||
|
Variable |
Hazard ratio |
Intervalo de confianza (IC95%) |
p |
|
Hipertensión |
1,62 |
1,18-1,22 |
0,002 |
|
Diabetes mellitus |
1,46 |
1,09-1,95 |
0,012 |
|
Insuficiencia cardiaca previa |
2,86 |
1,82-4,49 |
< 0,001 |
|
Fibrilación auricular |
1,81 |
1,23-2,68 |
0,003 |
|
Tasa de filtrado glomerular (ml/min/1,73 m2) |
0,96 |
0,95-0,98 |
< 0,001 |
|
Hemoglobina (g/L) |
0,82 |
0,68-0,99 |
0,038 |
|
Plaquetas (× 1010/L) |
1,04 |
1-1,08 |
0,043 |
|
Estatinas* |
1,62 |
1,18-2,22 |
0,032 |
|
Anticoagulación* |
1,58 |
1,03-2,41 |
0,035 |
|
Digoxina* |
2,20 |
1,36-3,56 |
0,001 |
|
Diuréticos* |
1,78 |
1,34-2,35 |
0,222 |
|
*Prescripción en la primera visita. |

Incidencia acumulada de los ingresos por cada uno de los eventos cardiovasculares mayores y de muerte sin ingreso como evento competitivo. ACV: accidente cerebro vascular. AIT: accidente isquémico transitorio. IAM: infarto agudo de miocardio. IC: insuficiencia cardiaca.
Conclusiones: En este estudio prospectivo y monocéntrico, casi la mitad de los pacientes de edad avanzada con SCC fueron hospitalizados por un evento cardiovascular importante a lo largo de su vida. La insuficiencia cardiaca fue el evento más frecuente. Diversas variables clínicas podrían ser útiles para estratificar el riesgo de eventos.