Introducción
José M. de la Torre Hernández
Presidente del Comité Científico del Congreso. Vicepresidente de la SEC
Comités ejecutivo, organizador y científico
Comité de selección de comunicaciones
Listado completo de comunicaciones
Índice de autores
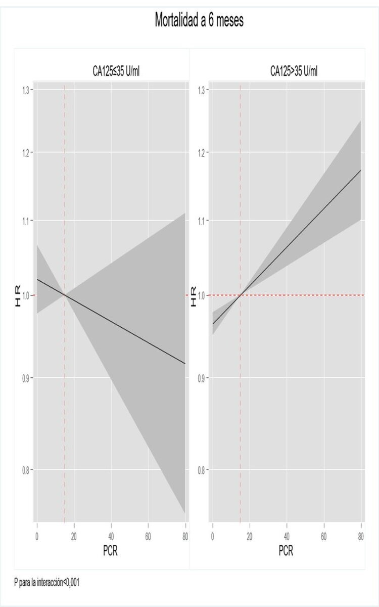
Introducción y objetivos: El antígeno carbohidrato 125 (CA125) es un biomarcador ya establecido en insuficiencia cardiaca (IC), fundamentalmente asociado a la congestión, pero también a la inflamación. La inflamación, evaluada habitualmente mediante niveles de proteína C-reactiva de alta sensibilidad (PCRas), es un fenómeno clave en IC. Los dos biomarcadores se asocian con un mayor riesgo de eventos. Sin embargo, evidencia reciente muestra que CA125 podría actuar como un ligando amplificando la respuesta inflamatoria en IC. Nuestro objetivo fue evaluar el posible efecto modulador de CA125 sobre la PCRas en pacientes con IC.
Métodos: Evaluamos retrospectivamente a una cohorte de 4.043 pacientes consecutivos hospitalizados por IC aguda, en los que se determinó la PCRas y el CA125 durante la hospitalización. Se establecieron cuartiles en función del valor elevado o no de ambos biomarcadores. Se aplicaron modelos multivariantes de regresión de Cox para evaluar la asociación entre ambos biomarcadores y los eventos de muerte o rehospitalización por IC a 6 meses.
Resultados: La edad media de la muestra fue de 74,5 años (11,1) y 1.833 (45,3%) fueron mujeres. La mediana (RI) de PCRas fue de 14,9 (6-36,2) mg/l y 2.462 (61%) pacientes tuvieron un CA125 > 35 U/ml. No hubo diferencias significativas entre los valores de PCRas en función del CA125 (p = 0,230). 1236 pacientes (30,6%) tuvieron ambos biomarcadores elevados (PCRas > 14,9 mg/L y CA125 > 35 U/ml). A los 6 meses se registraron 538 fallecimientos y 1.106 eventos de muerte/rehospitalización por IC. Las categorías de PCRas/CA125 se asociaron con una mayor incidencia ambos eventos en el seguimiento (log rank test, p < 0,001). En el análisis multivariable, la PCRas no se asoció con un mayor riesgo de muerte o muerte/rehospitalización a 6 meses (HR = 0,87; IC95% 0,65-1,17; p = 0,372; y HR = 0,96; IC95% 0,91-1,01; p = 0,177, respectivamente). Sin embargo, se observó una interacción significativa entre PCRas y CA125 para ambos eventos (p para la interacción < 0,001 y 0,036, respectivamente), de tal forma que la PCRas no fue predictora de eventos si CA #2 35 U/ml pero en cambio sí se asoció significativamente con un mayor riesgo de muerte (Figura; HR = 1,27; IC95% 1,16-1,41; p < 0,001) y muerte/reingreso por IC (HR = 1,18; IC95% 1,09-1,28; p < 0,001) si CA > 35 U/ml.

Riesgo de mortalidad a 6 meses de PCR en función de los valores de CA125.
Conclusiones: CA125 tiene un efecto modulador sobre el impacto pronóstico de la PCRas tras una hospitalización por IC aguda. La PCR se asocia de forma significativa con un mayor riesgo de muerte y reingreso a 6 meses solo si CA125 > 35 U/ml. Estos resultados sugieren un efecto modulador y amplificador de CA125 sobre la inflamación en IC.