Introducción
José M. de la Torre Hernández
Presidente del Comité Científico del Congreso. Vicepresidente de la SEC
Comités ejecutivo, organizador y científico
Comité de selección de comunicaciones
Listado completo de comunicaciones
Índice de autores
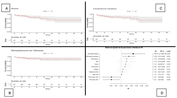
Introducción y objetivos: El síndrome de tako-tsubo (STT) es una patología con una creciente prevalencia, cuya mortalidad es superior a la previamente estimada. El objetivo del estudio fue analizar los eventos y los factores predictores de mortalidad en paciente con SST en un centro de tercer nivel.
Métodos: Se realizó un análisis observacional retrospectivo de todos los pacientes ingresados en nuestro centro entre enero de 2007 y junio de 2024 con diagnóstico confirmado de STT. Se recogieron los eventos de mortalidad, hospitalización por insuficiencia cardiaca (IC) y rehospitalización por STT durante un periodo de seguimiento hasta enero de 2025. Se empleó el método de Kaplan-Meier para estimar la supervivencia y modelos de Cox univariantes para evaluar el efecto de variables basales sobre los eventos. El nivel de significación se estableció en p < 0,05.
Resultados: Se incluyeron 81 pacientes. Sus características y eventos se muestran en la tabla. Fallecieron 10 pacientes (31,2% origen cardiovascular). La supervivencia al año fue del 90% y a los 5 años del 85% (Figura 1A). Los factores asociados a mayor riesgo de muerte fueron la enfermedad hepática (HR 223,19 [IC95% 1,27-42927,38]; p = 0,0405), patología neurológica (HR 31,06 [IC95% 1,85-515,60]; p = 0,065). La FEVI > 41% en el momento del alta (HR 0,01 [IC95% 0,00-0,85]; p = 0,0418) se asoció con menor mortalidad. Las rehospitalizaciones por STT ocurrieron en 7 casos (8,6%), con una tasa libre de recurrencia al año del 90% y del 85% a los 5 años (Figura 1B). La disfunción ventricular previa fue el único predictor de recurrencia (HR 37,41 [IC95% 2,73-512,15]; p = 0,0067). Se registraron 15 episodios de descompensación IC (18,5%), con tasas libres de hospitalización al año del 90% y del 80% a 5 años (Figura 1C).
|
Características basales de la población y eventos acontecidos |
|
|
|
Población total (N = 81) |
|
Edad (media ± DE) |
67,73 ± 16,29 |
|
Mujer n (%) |
75 (92,6) |
|
Antecedentes personales, n (%) |
|
|
Antecedentes neurológicos |
18 (22,2) |
|
Enfermedad hepática |
3 (3,7) |
|
IC previa |
4 (4,9) |
|
NYHA clase II |
15 (18,5) |
|
NYHA clase III |
8 (9,9) |
|
NYHA clase IV |
23 (28,4) |
|
Cardiopatía isquémica previa |
5 (6,2) |
|
Eventos, n (%) |
|
|
Muerte |
15 (18,5) |
|
Muerte de causa cardiovascular |
5 (31,2) |
|
Recurrencia de STT |
7 (8,6) |
|
Implante de marcapasos |
3 (3,7) |
|
Descompensación de IC en seguimiento |
15 (18,5) |
|
Necesidad de inotrópicos |
10 (12,3) |
|
Shock cardiogénico |
11 (13,6) |
|
Trasplante cardiaco |
0 (0) |
|
Implante de DAVI |
0 (0) |
|
IC: insuficiencia cardiaca; NYHA: New York Heart Association; STT: síndrome de tako-tsubo; DAVI: dispositivo de asistencia ventricular izquierda. |
|

A Curva de supervivencia Kaplan-Meier. B Curva de Kaplan-Meier de supervivencia libre de rehospitalización. C Curva de Kaplan-Meier de supervivencia libre de descompensaciones de IC. D Modelo de regresión de Cox multivariante con predictores de mortalidad.
Conclusiones: En nuestra población, se observaron tasas de mortalidad similares a las descritas en otras series y un mayor porcentaje de recurrencia de STT. El antecedente de enfermedad hepática o neurológica se asoció con mayor riesgo de mortalidad. Adicionalmente, la disfunción ventricular fue un factor predictor de menor supervivencia.