Introducción
José M. de la Torre Hernández
Presidente del Comité Científico del Congreso. Vicepresidente de la SEC
Comités ejecutivo, organizador y científico
Comité de selección de comunicaciones
Listado completo de comunicaciones
Índice de autores
Introducción y objetivos: La estenosis aórtica de bajo flujo/bajo gradiente paradójica (EAop) con fracción de eyección (FEVI) preservada se asocia a una fisiología más compleja, con peores resultados funcionales, mayor tasa de futilidad terapéutica y reingresos hospitalarios tras el implante valvular aórtico transcatéter (TAVI), en comparación con la estenosis aórtica clásica (EAoc), sin evidencia concluyente respecto a su impacto en la mortalidad. Caracterizar y comparar el perfil clínico y ecocardiográfico de pacientes con EAop frente a EAoc y analizar la incidencia de eventos clínicos (ingresos por insuficiencia cardiaca y mortalidad) en el seguimiento pos-TAVI.
Métodos: Análisis retrospectivo de una cohorte prospectiva de pacientes con EAo grave tratados con TAVI en un hospital de tercer nivel entre los años 2008 y 2023. Se realizó una comparación de características basales clínicas, ecocardiográficas, y la incidencia de eventos, entre pacientes con EAop (n = 131) y EAoc (n = 749).
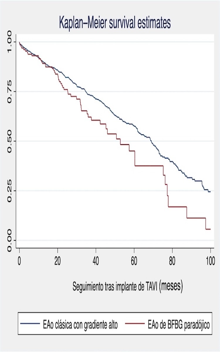
Resultados: La edad media de los pacientes analizados (n = 880) fue de 82,5 (5,6) años, y 504 (57%) eran mujeres. No se encontraron diferencias significativas entre pacientes con EAop y EAoc respecto a las características clínicas o epidemiológicas. En relación con los hallazgos ecocardiográficos, los pacientes con EAop presentaron menor volumen ventricular izquierdo indexado, peor FEVI y strain global longitudinal, y un mayor deterioro funcional auricular izquierdo, con peor strain reservorio y mayor índice de rigidez auricular. Asimismo, el porcentaje de pacientes con insuficiencia tricuspídea moderada o grave fue significativamente más elevado en pacientes con EAop y se observó una tendencia a peor acoplamiento ventrículo-arterial derecho (Tabla). La EAop se asoció de forma significativa con una incidencia más elevada de mortalidad por cualquier causa durante el seguimiento (HR 1,43; IC95% 1,06-1,92), así como de mortalidad de causa cardiovascular e ingresos por IC (HR 1,52, IC95% 1,02-2,30) (Figura).
|
Características clínicas y ecocardiográficas de pacientes con estenosis aórtica y FEVI conservada clásica y de bajo flujo bajo gradiente paradójica |
|||
|
EAOc (n = 880) |
EAOp (n = 131) |
p |
|
|
Edad |
82,5 ± 5,6 años |
82,6 ± 5,5 años |
0,875 |
|
Sexo femenino |
436 (58,2%) |
68 (51,9%) |
0,179 |
|
Hipertensión |
613 (82%) |
110 (84%) |
0,577 |
|
Diabetes mellitus |
254 (33,9%) |
53 (40,5%) |
0,150 |
|
EuroSCORE II |
4,5 ± 5,2 |
4,4 ± 3,7 |
0,841 |
|
STS |
5,1 ± 4,3 |
5,6 ± 7,6 |
0,310 |
|
VTDVI (ml/m2) |
64,1 ± 27,1 |
54,5 ± 28,4 |
< 0,001 |
|
Masa indexada VI (g/m2) |
121,5 ± 38 |
116,2 ± 35 |
0,159 |
|
Volumen latido indexado (ml/m2) |
45,3 ± 8,8 |
27,8 ± 5,3 |
< 0,001 |
|
FEVI (%) |
63,1 ± 6,7 |
60,6 ± 6,7 |
< 0,001 |
|
SGL VI (%) |
-16,2 ± 4 |
-15,4 ± 4,5 |
0,064 |
|
Volumen AI (ml/m2) |
47,9 ± 21,7 |
46,9 ± 21,9 |
0,666 |
|
Strain AI reservorio (%) |
-16,5 ± 9 |
-14,3 ± 9 |
0,015 |
|
Rigidez AI (cm/s/%) |
1,3 ± 1,3 |
1,7 ± 1,5 |
0,019 |
|
TAPSE (mm) |
20 ± 3,9 |
20 ± 4,3 |
0,090 |
|
PSAP (mmHg) |
35,8 ± 15,1 |
38,3 ± 14,9 |
0,130 |
|
Acoplamiento VD (mm/mmHg) |
0,68 ± 0,4 |
0,61 ± 0,4 |
0,089 |
|
Insuficiencia mitral moderada o grave |
126 (17,1%) |
28 (21,9%) |
0,187 |
|
Insuficiencia tricuspídea moderada o grave |
91 (12,4%) |
25 (19,5%) |
0,029 |
|
AI: aurícula izquierda; FEVI: fracción de eyección ventricular izquierda; PSAP: presión sistólica de la arteria pulmonar; TAPSE: excursión sistólica del anillo tricuspídeo; SGL: strain global longitudinal; VD: ventrículo derecho; VI: ventrículo izquierdo. En negrita se muestran los valores estadísticamente significativos. |

Curvas de supervivencia para mortalidad por todas las causas: comparación entre EAop y EAoc.
Conclusiones: El diagnóstico de EAop en nuestra cohorte se asoció con un perfil ecocardiográfico estructural y funcional más desfavorable respecto a la EAoc, y una incidencia significativamente mayor de eventos clínicos adversos tras el implante de TAVI. Nuestros resultados sugieren que los pacientes con EAop representan un grupo de alto riesgo y se beneficiarían de una evaluación y abordaje integral del daño cardiaco subyacente a su valvulopatía.