Introducción
José M. de la Torre Hernández
Presidente del Comité Científico del Congreso. Vicepresidente de la SEC
Comités ejecutivo, organizador y científico
Comité de selección de comunicaciones
Listado completo de comunicaciones
Índice de autores
Introducción y objetivos: El remodelado cardiaco inverso tras el reemplazo valvular aórtico transcatéter (TAVR) se asocia con beneficios clínicos significativos. Nuestro objetivo fue analizar si grado de remodelado inverso tras TAVR en pacientes con estenosis aórtica (EA) grave difiere en función del sexo.
Métodos: Análisis retrospectivo de una cohorte prospectiva unicéntrica de pacientes con EA grave tratados con TAVR entre 2008 y 2023. Se compararon los parámetros anatómicos y funcionales ecocardiográficos previos al procedimiento y al año de seguimiento, y se evaluaron las diferencias entre pacientes masculinos y femeninos.
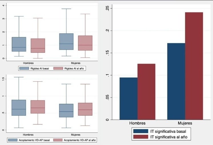
Resultados: Se incluyeron un total de 1.311 pacientes, de los cuales el 54% (n = 709) eran hombres. La edad media fue de 82,1 (5,8) años y la media del EuroSCORE II fue de 5,1 (6), sin diferencias significativas entre sexos. En el seguimiento de 1 año, encontramos una reducción significativa en los volúmenes y masa del ventrículo izquierdo (VI), así como mejoras en la deformación global longitudinal del VI y de reservorio de la aurícula izquierda (AI), en ambos grupos de pacientes. Sin embargo, los hombres mostraron una mejoría estadísticamente significativa los volúmenes AI y una reducción de la rigidez de la AI, que no ocurrió en las mujeres (Figura). Además, aunque el acoplamiento ventrículo derecho-arteria pulmonar (VD-AP) aumentó tanto en pacientes varones como mujeres, estas últimas tuvieron una mejoría más modesta (Figura). En relación a los eventos clínicos en el seguimiento, la incidencia de hospitalizaciones por insuficiencia cardiaca fue significativamente mayor en mujeres (24,3%) que en hombres (24,3 frente a 16,4%, p = 0,001), sin diferencias significativas en la mortalidad al año del implante (6 frente a 6,8%, p = 0,464).
|
Variables ecocardiográficas basales y al año de la TAVI: diferencias entre hombres y mujeres |
||||||
|
Hombres (n = 709) |
Mujeres (n = 602) |
|||||
|
Parámetros ecocardiográficos |
Basal |
Seguimiento al 1 año |
p |
Basal |
Seguimiento al 1 año |
p |
|
Volumen telediastólico del ventrículo izquierdo indexado (ml/m2) |
69,0 (32,0) |
61,5 (29,0) |
< 0,001 |
56,7(24,0) |
50,0 (20,0) |
< 0,001 |
|
Volumen telesistólico VI indexado (ml/m2) |
39,0 (12,0) |
41,3 (15,5) |
< 0,003 |
39,4 (11,6) |
42,2 (15,6) |
< 0,001 |
|
Masa ventricular izquierda indexada (g/m2) |
126 (41,0) |
120 (36) |
0,002 |
118,8 (42,0) |
111,0 (33,3) |
< 0,001 |
|
Fracción de eyección del ventrículo izquierdo (FEVI) (%) |
56 (11,9) |
58,3 (11,0) |
< 0,001 |
61 (10,0) |
61 (8,3) |
0,323 |
|
Deformación longitudinal global del ventrículo izquierdo (%) |
-15,0 (4,5) |
-15,3 (4,7) |
< 0,001 |
-15,5 (4,4) |
-16,0 (5,1) |
0,023 |
|
E/E`(cm/s) |
14,1(6,1) |
14,09 (6,1) |
0,856 |
15,9 (6,0) |
16,3 (7,0) |
0,365 |
|
Volumen de la aurícula izquierda indexada (ml/m2) |
47,0 (20,0) |
45,0 (24,0) |
0,026 |
51,1 (34,3) |
51,0 (31,0) |
0,734 |
|
Deformación de reservorio de aurícula izquierda (%) |
16,0 (9,4) |
18,2 (11) |
< 0,001 |
15,1 (9,0) |
16,4 (9,4) |
< 0,001 |
|
Rigidez auricular izquierda (cm/s/%) |
1,6 (3,2) |
1,1 (1,4) |
0,026 |
1,6 (2,3) |
1,4 (1,5) |
0,174 |
|
TAPSE (mm) |
20,3 (5,0) |
20,3 (4,1) |
0,523 |
20,0 (5,0) |
20,2 (4,1) |
0,856 |
|
Presión sistólica de la arteria pulmonar (mmHg) |
35,2 (15,0) |
34,0 (15,0) |
0,060 |
40,0 (16,1) |
37,2 (14,0) |
< 0,001 |
|
Acoplamiento ventrículo arterial pulmonar (TAPSE/PSAP)-mm/mmHg |
0,68 (0,4) |
0,70 (0,4) |
0,385 |
0,58 (0,2) |
0,62 (0,3) |
0,008 |
|
Insuficiencia mitral moderada-grave |
16,6% |
22,0% |
< 0,001 |
21,5% |
28,0% |
< 0,001 |
|
Insuficiencia tricuspídea moderada-grave |
9,9% |
12,8% |
< 0,001 |
17,7% |
24,9% |
< 0,001 |
|
VI: ventrículo izquierdo; FEVI: fracción de eyección del ventrículo izquierdo. |
||||||

Diferencias entre hombres y mujeres en el remodelado cardiaco inverso tras TAVI.
Conclusiones: Tras el TAVR, se observaron mejoras significativas en la mayoría de parámetros ecocardiográficos en ambos sexos, aunque con una respuesta más pronunciada en los varones. Las mujeres no tuvieron remodelado AI inverso, y presentaron mayor prevalencia de insuficiencia mitral y tricuspídea en el seguimiento, lo que podría relacionarse con la mayor incidencia de ingresos por IC observada. Estas diferencias entre sexos pueden deberse a disparidades en la función cardiaca basal, las comorbilidades y el momento del procedimiento.