Introducción
José M. de la Torre Hernández
Presidente del Comité Científico del Congreso. Vicepresidente de la SEC
Comités ejecutivo, organizador y científico
Comité de selección de comunicaciones
Listado completo de comunicaciones
Índice de autores
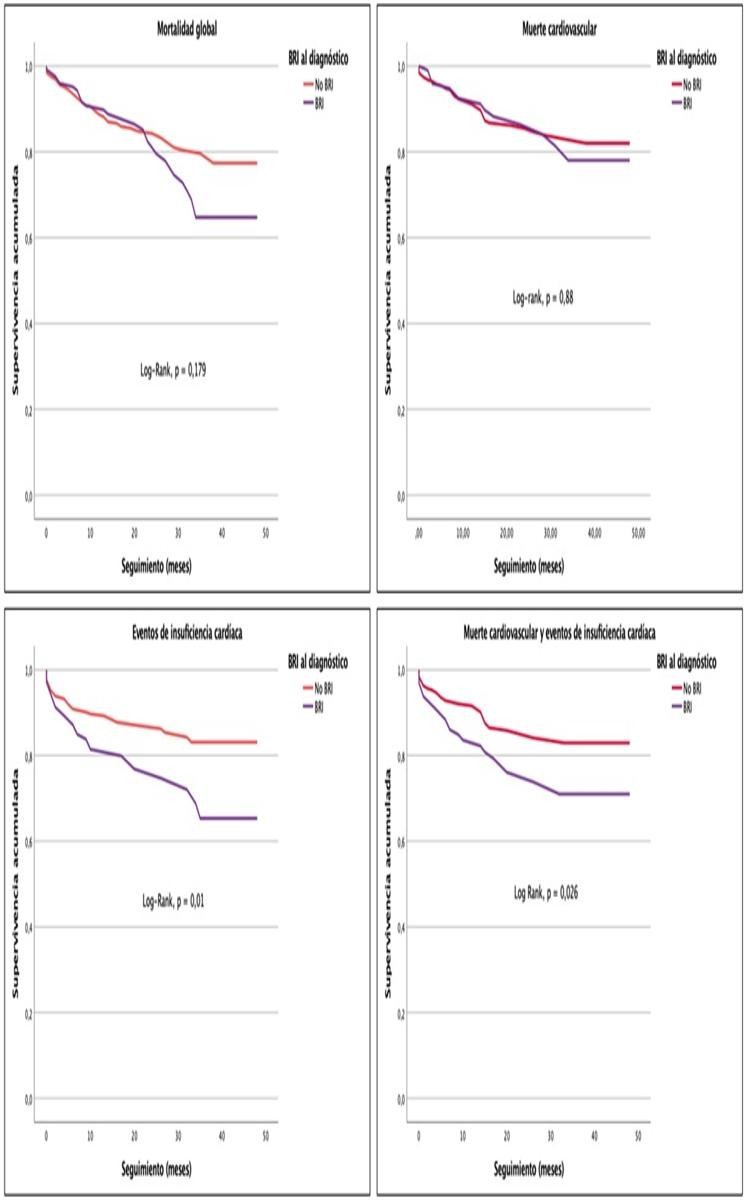
Introducción y objetivos: La insuficiencia cardiaca con fracción de eyección reducida (ICFEr) es una entidad frecuente y de mal pronóstico. El bloqueo de rama izquierda (BRI), hallazgo común en estos pacientes, se asocia con disincronía ventricular y peor evolución. No obstante, su papel en el contexto de ICFEr de novo y sus implicaciones clínicas y pronósticas no están bien definidas. Objetivos: describir las características clínicas asociadas al BRI al diagnóstico de ICFEr de novo y evaluar su impacto pronóstico durante el seguimiento.
Métodos: Estudio observacional retrospectivo de 587 pacientes con ICFEr de novo (FEVI #2 40%) ingresados en dos hospitales universitarios. Se compararon dos grupos según la presencia de BRI al ingreso, evaluando características clínicas al diagnóstico y tras titulación farmacológica. El seguimiento mediano fue de 20 meses (RIQ: 11-33). Se emplearon curvas de Kaplan-Meier para el análisis de eventos, con significación estadística establecida en p < 0,05.
Resultados: Cerca de una cuarta parte de los pacientes (21,5%) presentaban bloqueo de rama izquierda (BRI) al diagnóstico. En comparación con aquellos sin BRI, estos pacientes eran de mayor edad, presentaban menor frecuencia de taquimiocardiopatía como etiología, mayor uso de marcapasos previo y peor función renal. Además, mostraron una fracción de eyección (FEVI) más reducida al alta y mayor uso de ARNI, sin diferencias en el resto de tratamientos modificadores de pronóstico. Tras la titulación farmacológica, los pacientes con BRI persistían con menor FEVI, QRS más prolongado y mayor frecuencia de implante de TRC-P/D. En cuanto al pronóstico, el BRI se asoció con mayor incidencia de eventos de insuficiencia cardiaca, con una tendencia no significativa en mortalidad total y cardiovascular (Tabla y Figura).
|
Características basales y tras titulación farmacológica en pacientes con insuficiencia cardiaca de novo y FEVI #2 40%, según la presencia de bloqueo de rama izquierda al diagnóstico |
||||
|
Variable |
Total (n = 587) |
Sin BRI (n = 461; 78,5%) |
Con BRI (n = 126; 21,5%) |
p |
|
Edad (años) |
69 ± 14 |
68 ± 14 |
72 ± 13 |
0,001 * |
|
Sexo (mujer) |
197 (33,7%) |
161 (35,1%) |
36 (28,6%) |
0,171 |
|
Tabaquismo |
211 (36,1%) |
175 (38,2%) |
36 (28,6%) |
0,046 * |
|
Hipertensión arterial |
370 (63,2%) |
284 (61,9%) |
86 (68,3%) |
0,188 |
|
Diabetes mellitus |
274 (46,8%) |
255 (49,0%) |
49 (38,9%) |
0,951 |
|
Dislipemia |
311 (53,2%) |
234 (51,0%) |
77 (61,1%) |
0,044 * |
|
Enfermedad renal crónica |
124 (21,2%) |
90 (19,7%) |
34 (27,0%) |
0,075 |
|
Marcapasos previo |
31 (5,3%) |
19 (4,1%) |
12 (9,5%) |
0,017 * |
|
Etiología isquémica |
166 (28,5%) |
128 (27,9%) |
38 (30,4%) |
0,597 |
|
Etiología taquimiocardiopatía |
149 (25,6%) |
128 (27,9%) |
21 (16,8%) |
0,012 * |
|
QRS ingreso (ms) |
115 ± 28 |
107 ± 24 |
144 ± 25 |
< 0,001 * |
|
FEVI al alta (%) |
30,3 ± 9,2 |
30,9 ± 9,3 |
28,0 ± 8,4 |
0,002 * |
|
FGe (ml/min) al alta |
63 ± 24 |
65 ± 24 |
56 ± 23 |
0,001 * |
|
NT-proBNP alta (pg/ml) |
4.476 ± 10.708 |
4.550 ± 11.608 |
4.225 ± 6.799 |
0,769 |
|
NT-proBNP seguimiento (pg/ml) |
2.201 ± 6.256 |
2.141 ± 6.636 |
2.407 ± 4.774 |
0,725 |
|
FGe (ml/min) seguimiento |
68 ± 53 |
67 ± 24 |
70 ± 101 |
0,587 |
|
QRS seguimiento (ms) |
115 ± 27 |
107 ± 23 |
138 ± 26 |
< 0,001 * |
|
FEVI seguimiento (%) |
46 ± 13 |
47 ± 12 |
42 ± 15 |
0,001 * |
|
TRC-P/D seguimiento |
42 (8,3%) |
21 (5,4%) |
21 (17,5%) |
< 0,001 * |
|
IECA: inhibidores de la enzima convertidora de angiotensina; ARA II: antagonistas del receptor de angiotensina II; ARNI: inhibidores del receptor de angiotensina y neprilisina; MRA: antagonistas del receptor mineralocorticoide; iSGLT2: inhibidores del cotransportador sodio-glucosa tipo 2; FEVI: fracción de eyección del ventrículo izquierdo; FGe: filtrado glomerular estimado; NT-proBNP: péptido natriurético tipo B N-terminal; TRC-P/D: terapia de resincronización cardiaca con o sin desfibrilador; BRI: bloqueo de rama izquierda. |

Análisis de supervivencia según BRI al diagnóstico en IC de novo con FEVI reducida.
Conclusiones: En pacientes con ICFEr de novo, la presencia de BRI al diagnóstico se asocia a mayor edad, menor frecuencia de taquimiocardiopatía como etiología, peor función renal, menor FEVI al diagnóstico y tras titulación farmacológica; así como con un mayor uso de terapia de resincronización. Además, se relaciona con un mayor riesgo de eventos de insuficiencia cardiaca durante el seguimiento y una tendencia no significativa a mayor mortalidad global y cardiovascular. Estos hallazgos refuerzan el valor pronóstico del BRI y su relevancia en la estratificación y manejo de estos pacientes.