Los datos a largo plazo tras el implante de un stent en el tronco coronario izquierdo (TCI) son escasos, especialmente en lo que respecta a los stents liberadores de fármacos (SLF) de nueva generación. El objetivo de este análisis fue proporcionar los resultados clínicos a 10 años de los pacientes a los que se les ha realizado una intervención coronaria percutánea del TCI con diferentes generaciones de SLF.
MétodosSe agruparon los datos de pacientes individuales de los ensayos aleatorizados ISAR-LEFT MAIN e ISAR-LEFT MAIN 2, y se obtuvo un seguimiento clínico a 10 años. Se utilizó el método de Kaplan-Meier para calcular las tasas de episodios. Los principales criterios de valoración fueron la mortalidad por cualquier causa, el infarto de miocardio, la revascularización de la lesión diana y la trombosis definitiva del stent.
ResultadosSe incluyó en este análisis a un total de 1.257 pacientes, de los cuales 650 se trataron con SLF de nueva generación y 607 con SLF de primera generación. A los 10 años, la tasa de mortalidad fue superior al 40% en ambos grupos. Tras el ajuste estadístico, la mortalidad a los 10 años se redujo significativamente en los pacientes tratados con SLF de nueva generación en comparación con los tratados con SLF de primera generación (HRaj=0,78; IC95%, 0,62-0,97). Después de 10 años, el riesgo de infarto de miocardio (HRaj=0,43; IC95%, 0,23-0,80), revascularización de la lesión diana (HRaj=0,66; IC95%, 0,49-0,89) y trombosis definitiva del stent (HRaj=0,13; IC95%, 0,04-0,49) se redujo significativamente con los SLF de nueva generación en comparación con los de primera generación.
ConclusionesLos pacientes a los que se les ha realizado una intervención coronaria percutánea por enfermedad del TCI tienen una elevada mortalidad a 10 años independientemente de la generación de SLF. El uso de SLF de nueva generación en pacientes con enfermedad del TCI se asocia a un mejor rendimiento clínico a largo plazo en comparación con los SLF de primera generación.
Palabras clave
La mayor parte del aporte sanguíneo al ventrículo izquierdo procede del tronco coronario izquierdo (TCI) y, por consiguiente, la enfermedad coronaria (EC) con estenosis en esa localización anatómica tiene un importante impacto pronóstico1. Por lo tanto, el uso de un tratamiento óptimo es de especial relevancia y sigue siendo un verdadero reto. Entre los métodos de tratamiento utilizados, se encuentran la cirugía de revascularización aortocoronaria (CABG) y la intervención coronaria percutánea (ICP) con implante de stent. Ambas opciones son factibles y razonables en los pacientes con una EC de complejidad baja a intermedia2,3. Las recomendaciones actuales de los autores que han elaborado las guías europeas respaldan el enfoque menos invasivo de la ICP con stents liberadores de fármacos (SLF), siempre que se consiga una revascularización completa comparable a la que proporciona la CABG2.
Los datos de seguimiento a muy largo plazo (p. ej., 10 años) de pacientes tratados con ICP e implante de un SLF para la EC que afecta al TCI proceden, en su mayor parte, de estudios que incluyeron a pacientes tratados con SLF de primera generación, pero faltan datos de seguimiento a muy largo plazo de aquellos tratados con SLF de nueva generación por una afección del TCI. Además, no se han estudiado comparativamente los resultados de las distintas generaciones de SLF en pacientes con una EC del TCI incluidos en ensayos clínicos controlados y aleatorizados4.
En este contexto, el presente estudio tuvo como objetivo evaluar los resultados clínicos a 10 años de los SLF de primera y de nueva generación en pacientes con EC del TCI, mediante la agrupación de los datos de sujetos procedentes de 2 ensayos aleatorizados en los que se implantó un SLF a los tratados con una ICP por una afección del TCI.
MÉTODOSPoblación y protocolo del estudioPara este análisis, se agruparon los datos de la población de estudio de dos ensayos clínicos: Intracoronary Stenting and Angiographic Results: Drug-Eluting Stents for Unprotected Coronary Left Main Lesions (ISAR-LEFT MAIN, NCT00133237) e ISAR-LEFT MAIN 2 (NCT00598637). Anteriormente se ha publicado una información detallada relativa a los criterios de inclusión y exclusión, así como la de los resultados principales de estos ensayos5,6. De forma resumida, en ambos estudios se incluyó a pacientes (≥ 18 años) con síntomas isquémicos o signos de isquemia miocárdica, a los que se les practicó una ICP con implante de un SLF para el tratamiento del TCI sin protección. Se excluyó a los pacientes que habían presentado un infarto de miocardio ≤ 48horas después del inicio de los síntomas, los que habían sido tratados anteriormente con una CABG, los que tenían una reestenosis en el stent, los que presentaban shock cardiogénico o aquellos a los que se les había programado una ICP por etapas en los 30 días siguientes a la intervención índice. Los criterios de valoración fueron idénticos en ambos ensayos.
Entre julio de 2005 y junio de 2007, se incluyó a un total de 607 pacientes en el ensayo ISAR-LEFT MAIN en 2 centros de Alemania. Se trató a 302 de estos pacientes con un stent liberador de paclitaxel (Taxus, Boston Scientific, Estados Unidos) y a 305 con un stent liberador de sirolimus (Cypher, Cordis, Johnson & Johnson, Estados Unidos). Entre diciembre de 2007 y septiembre de 2011, se incluyó a un total de 650 pacientes en el ensayo ISAR-LEFT MAIN 2 en 3 centros de Alemania y 1 de Italia. Se trató a 324 de estos pacientes con un stent liberador de zotarolimus (Resolute, Medtronic CardioVascular, Estados Unidos) y a 326 con un stent liberador de everolimus (Xience, Abbott Vascular Devices, Estados Unidos).
Todos los pacientes dieron su consentimiento informado por escrito para participar en el estudio. Ambos ensayos se realizaron de acuerdo con las disposiciones de la Declaración de Helsinki y las Buenas Prácticas Clínicas de la Conferencia Internacional sobre Armonización. El comité de ética médica de todos los centros participantes aprobó el protocolo. Se obtuvo una aprobación adicional del comité ético para la evaluación del seguimiento clínico a los 10 años, ya que este análisis post hoc no formaba parte de los protocolos iniciales de los ensayos incluidos.
Criterios de valoración y definicionesLos criterios de valoración de interés en este análisis fueron la muerte por cualquier causa, la muerte de causa cardiaca, el infarto de miocardio y la revascularización de la lesión diana (RLD). La muerte de causa cardiaca incluía la muerte relacionada con cualquier enfermedad cardiaca, así como la muerte no presenciada o la muerte de causa desconocida. La RLD se definió como cualquier ICP repetida sobre el área del TCI o una intervención de CABG en al menos una de las arterias coronarias principales izquierdas a causa de reestenosis, en presencia de signos objetivos de isquemia o de síntomas isquémicos. Evaluamos también la incidencia de trombosis definitiva o probable del stent según los criterios del Academic Research Consortium, así como la incidencia de ictus.
Análisis estadísticoLos datos de variables continuas se presentan en forma de media±desviación estándar, y los de variables discretas en forma de números y porcentaje. Las diferencias entre los 2 grupos se calcularon con la prueba t de Student para las variables continuas y con la prueba de χ2 (o la prueba de Fisher si las cifras de las celdas eran <5) para las variables discretas. Se utilizó el método de Kaplan-Meier para los análisis de supervivencia y para el análisis del tiempo transcurrido hasta el primer episodios, y las diferencias se calcularon con la prueba de orden logarítmico (log-rank). Se calcularon los valores de hazard ratio (HR) con el intervalo de confianza del 95% (IC95%) mediante el empleo de modelos de riesgos proporcionales de Cox. Se utilizaron modelos ajustados y no ajustados. Se hicieron estimaciones del riesgo con y sin la aplicación de un ajuste estadístico para todos los criterios de valoración de interés. Para el ajuste estadístico, se incluyeron en el modelo multivariable todas las variables clínicas y de factores de la intervención que se indican en la tabla 1, así como la medicación. Se usaron estimadores sándwich sólidos para la variancia de los coeficientes de regresión, a fin de tener en cuenta el riesgo competidor de muerte y la correlación intraindividual. En los casos en los que no se cumplía la hipótesis de riesgos proporcionales, se adoptaron las medidas analíticas adecuadas. Este análisis también incluye las RLD recurrentes sin censura estadística después del primer episodio, por lo que se aplicó un modelo de Cox ampliado (modelo de Andersen-Gill). La posible interacción entre el efecto del tratamiento y el subgrupo de RLD se comprobó mediante regresión lineal múltiple. Para todos los análisis, se utilizó el programa estadístico R (versión 4.1.0, R Foundation for Statistical Computing, Viena, Austria).
Características iniciales clínicas, angiográficas y de la intervención
| Variables | SLF de nueva generación (n=650) | SLF de primera generación (n=607) | p |
|---|---|---|---|
| Edad (años) | 70,2 [63,0-77,2] | 69,2 [63,0-75,7] | 0,16 |
| Sexo femenino | 162 (24,9) | 139 (22,9) | 0,44 |
| Hipertensión | 449 (69,1) | 419 (69,0) | 1,0 |
| Hipercolesterolemia | 470 (72,3) | 466 (76,8) | 0,08 |
| Diabetes mellitus | 185 (28,5) | 176 (29,0) | 0,88 |
| Fumadores activos | 91 (14,0) | 61 (10,0) | 0,04 |
| IMC | 27,1 [24,7-29,6] | 26,2 [24,2-28,6] | 0,001 |
| SCA al ingreso | 231 (35,5) | 247 (40,7) | 0,07 |
| IM previo | 197 (30,3) | 161 (26,5) | 0,16 |
| ICP previa | 343 (52,8) | 292 (48,1) | 0,11 |
| FEVI | 56 [43-60] | 58,0 [46-62] | 0,04 |
| Cáncer | 148 (22,8) | 61 (10,0) | <0,001 |
| EuroSCORE | 5 [3-7] | 4 [2-7] | <0,01 |
| Localización de la lesión en el TCI | <0,001 | ||
| Ostium | 75 (11,5) | 70 (11,5) | |
| Parte media | 56 (8,6) | 153 (25,2) | |
| Distal | 519 (79,8) | 384 (63,3) | |
| Morfología de trifurcación | 103 (15,8) | 56 (9,2) | |
| Puntuación SYNTAX | <0,001 | ||
| <23 | 156 (24,0) | 204 (33,6) | |
| 23-32 | 190 (29,2) | 235 (38,7) | |
| >32 | 304 (46,7) | 168 (27,7) | |
| Técnica de implante de stents | <0,001 | ||
| Provisional | 417 (64,2) | 302 (49,8) | |
| Aplastamiento | 7 (1,1) | 0 (0,0) | |
| Stent en T | 41 (6,3) | 9 (1,5) | |
| Culotte | 185 (28,5) | 296 (48,8) | |
| Inflado simultáneo de dos globos (kissing-balloon) final | 235 (36,2) | 303 (49,9) | <0,001 |
FEVI: fracción de eyección del ventrículo izquierdo; ICP: intervención coronaria percutánea; IM: infarto de miocardio; IMC: índice de masa corporal; SCA: síndrome coronario agudo; SLF: stent liberador de fármaco; TCI: tronco coronario izquierdo.
Los datos expresan n (%) o mediana [rango intercuartílico].
En los ensayos ISAR-LEFT MAIN e ISAR-LEFT MAIN 2, se incluyó a un total de 1.257 pacientes, de los cuales 650 se trataron con SLF de nueva generación y 607 con SLF de primera generación. En general, las características clínicas iniciales estaban bien equilibradas y no se observaron diferencias significativas entre los grupos en cuanto a edad, sexo, diabetes o forma de presentación clínica. En la tabla 1, se muestra un resumen de las características clínicas. Por lo que respecta a los parámetros angiográficos y de la intervención, se observaron estenosis distales del TCI con mayor frecuencia en los pacientes tratados con SLF de primera generación. El implante de stents provisionales fue la técnica predominante en el grupo de SLF de nueva generación, mientras que el implante de stents de tipo culotte se realizó con más frecuencia en el grupo de SLF de primera generación. En la tabla 1, se presenta una información más detallada de las características angiográficas y de la intervención.
En el grupo de SLF de nueva generación, el 96,5% de los pacientes se trataron con clopidogrel y el 3,5% con prasugrel, además de ácido acetilsalicílico, en el momento del alta, mientras que aquellos del grupo de SLF de primera generación se dieron de alta con tratamiento de ácido acetilsalicílico y clopidogrel (p<0,001). En comparación con los pacientes que se trataron con SLF de primera generación, a aquellos a los que se les implantó un SLF de nueva generación se les prescribió con menos frecuencia estatinas (el 90,0 frente al 95,4%; p<0,001), inhibidores de la enzima de conversión de la angiotensina (el 76,8 frente al 86,3%; p<0,001) y bloqueadores beta (el 92,5 frente al 97,9%; p<0,001). Los antagonistas de la angiotensina-1 se prescribieron con más frecuencia en el grupo de SLF de nueva generación en comparación con el grupo de SLF de primera generación (el 16,2 frente al 11,9%; p=0,04).
La mediana de seguimiento en la cohorte completa de pacientes fue de 11,3 [rango intercuartílico 10,0-13,4] años. No se dispuso del seguimiento a 10 años en 152 pacientes, y la duración del seguimiento en estos pacientes fue de 3,7 [2,9-4,3] años, sin diferencias estadísticamente significativas entre los grupos.
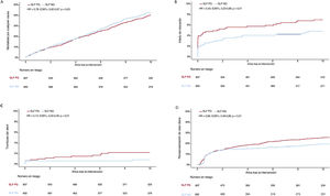
Tras 10 años de seguimiento, la mortalidad por cualquier causa fue del 42,7% en los pacientes tratados con SLF de nueva generación y del 40,5% en los tratados con SLF de primera generación, con un riesgo de muerte por cualquier causa significativamente menor en los pacientes a los que se implantó un SLF de nueva generación (HR ajustada=0,78; IC95%, 0,62-0,97), p=0,03). En comparación con los pacientes incluidos en el grupo de SLF de primera generación, los tratados con SLF de nueva generación mostraron un riesgo significativamente menor de RLD (el 19,6 frente al 25,8%; HR ajustada=0,66; IC95%, 0,49-0,89; p=0,01), trombosis definitiva del stent (el 0,8 frente al 2,2%; HR ajustada=0,13; IC95%, 0,04-0,49; p<0,01) e infarto de miocardio (el 4,8 frente al 7,0%; HR ajustada=0,43; IC95%, 0,23-0,80; p<0,01). Cabe destacar que, en comparación con los SLF de primera generación, el riesgo de infarto de miocardio con los SLF de nueva generación fue significativamente menor a los 30 días de la ICP (p=0,003) y fue comparable posteriormente (p=0,41). Se presenta una información más detallada sobre los criterios de valoración clínicos en la figura 1 y en la tabla 2, y un resumen del estudio, en la figura 2. Un análisis de subgrupos no mostró interacciones significativas con respecto a la mortalidad, mientras que se observó una interacción significativa con el efecto del tratamiento con respecto a la RLD en el caso de la diabetes, de tal manera que los SLF de nueva generación eran más eficaces en los pacientes no diabéticos (figura 3).
Curvas de Kaplan-Meier para el tiempo hasta el episodio a 10 años. Resultados clínicos a 10 años en pacientes con enfermedad coronaria del tronco coronario izquierdo tratada con stents liberadores de fármacos de nueva generación (SLF NG) o de primera generación (SLF PG) por lo que respecta a (A) la mortalidad por cualquier causa, (B) el infarto de miocardio, (C) la revascularización de la lesión diana y (D) la trombosis definitiva del stent. Los datos se presentan mediante curvas de episodios de Kaplan-Meier, con los valores de hazard ratio (HR) y los intervalos de confianza del 95% (IC95%).
Resultados clínicos
| Sin ajustar | Ajustados | |||||
|---|---|---|---|---|---|---|
| Criterios de valoración | SLF de nueva generación | SLF de primera generación | Hazard ratio | p | Hazard ratio | p |
| Mortalidad por cualquier causa | 241 (42,7) | 236 (40,5) | 1,08 (0,90-1,29) | 0,42 | 0,78 (0,62-0,97) | 0,03 |
| Muerte de causa cardiaca | 147 (26,8) | 138 (23,8) | 1,15 (0,91-1,45) | 0,24 | 0,88 (0,66-1,19) | 0,41 |
| Infarto de miocardio | 30 (4,8) | 42 (7,0) | 0,68 (0,43-1,09) | 0,11 | 0,43 (0,23-0,80) | <0,01 |
| TS definitiva | 5 (0,8) | 13 (2,2) | 0,38 (0,14-1,07) | 0,07 | 0,13 (0,04-0,49) | <0,01 |
| TS definitiva o probable | 9 (1,5) | 20 (3,4) | 0,46 (0,21-1,0) | <0,05 | 0,21 (0,08-0,52) | <0,001 |
| Todas las RLD | 120 (19,6) | 153 (25,8) | 0,75 (0,59-0,96) | 0,02 | 0,66 (0,49-0,89) | <0,01 |
| RLD-CABG | 11 (1,9) | 19 (3,2) | 0,57 (0,27-1,21) | 0,14 | 0,39 (0,14-1,13) | 0,08 |
| RLD-ICP | 111 (18,2) | 140 (23,6) | 0,77 (0,60-0,98) | 0,03 | 0,68 (0,50-0,93) | 0,02 |
| No RLD | 261 (41,6) | 256 (42,8) | 1,01 (0,85-1,20) | 0,87 | 0,96 (0,77-1,18) | 0,67 |
| Ictus | 14 (2,3) | 15 (2,5) | 0,91 (0,43-1,90) | 0,80 | 0,37 (0,16-1,32) | 0,15 |
CABG: cirugía de revascularización aortocoronaria; ICP: intervención coronaria percutánea; RLD: revascularización de la lesión diana; SLF: stent liberador de fármaco; TS: trombosis de stent.
A menos que se especifique lo contrario, los datos expresan n (%).
Figura central. En este análisis, se agruparon los datos de los ensayos controlados y aleatorizados ISAR-LEFT MAIN e ISAR-LEFT MAIN 2, y se obtuvo un seguimiento clínico a 10 años. Se trató a un total de 650 pacientes con stents liberadores de fármacos (SLF) de nueva generación y a 607 con SLF de primera generación. Al cabo de 10 años, la mortalidad fue comparable en los pacientes tratados con los SLF de nueva generación y en los tratados con SLF de primera generación, mientras que la revascularización de la lesión diana y la trombosis definitiva del stent se redujeron significativamente con los SLF de nueva generación. Los datos expresan hazard ratio con intervalos de confianza del 95% (IC95%). HR: hazard ratio; ICP: intervención coronaria percutánea. Partes de la figura central se han modificado a partir de Servier Medical Arts (licencia: https://creativecommons.org/licenses/by/4.0/).
Análisis de subgrupos. Análisis de subgrupos de pacientes a los que se les implantó en el tronco coronario izquierdo un stent liberador de fármaco de nueva generación (SLF NG) o de primera generación (SLF PG) por lo que respecta a (A) la mortalidad por cualquier causa y (B) la revascularización de la lesión diana. Los datos expresan hazard ratio con intervalos de confianza del 95% (IC95%).
Las RLD-ICP recurrentes fueron menos frecuentes en el grupo de SLF de nueva generación. La mayoría de los pacientes con una RLD recurrente presentaron 1 o 2 episodios; sin embargo, la proporción de pacientes que requirieron 3 o más intervenciones fue mayor en el grupo de SLF de primera generación. En el grupo de SLF de nueva generación, el implante de stents se utilizó con menos frecuencia para el tratamiento de las RLD recurrentes en comparación con el grupo de SLF de primera generación (el 41,0 frente al 54,4%; p=0,02). No se observaron diferencias estadísticamente relevantes por lo que respecta a la región afectada por las RLD-ICP recurrentes. En la tabla 3, se presenta una información más detallada sobre las RLD-ICP recurrentes.
Revascularizaciones recurrentes
| Características detalladas de las revascularizaciones recurrentes | SLF de nueva generación(n=139) | SLF de primera generación(n=182) | p |
|---|---|---|---|
| Número de RLD-ICP recurrentes | 0,001 | ||
| 1 | 92 (66,2) | 113 (62,1) | |
| 2 | 28 (20,1) | 30 (16,5) | |
| 3 | 6 (4,3) | 27 (14,8) | |
| 4 | 8 (5,8) | 12 (6,6) | |
| 5 | 5 (3,6) | 0 (0,0) | |
| Tipo de RLD-ICP recurrente | 0,02 | ||
| Angioplastia con balón | 82 (59,9) | 83 (45,6) | |
| Balón recubierto de fármaco* | 30 (21,6) | 13 (7,1) | |
| Stent | 57 (41,0) | 99 (54,4) | |
| Región de las RLD-ICP recurrentes | 0,05 | ||
| Principal izquierda | 66 (47,5) | 110 (60,4) | |
| ADA | 25 (18,0) | 29 (15,9) | |
| CXI | 48 (34,5) | 43 (23,6) |
ADA: arteria descendente anterior; CXI: arteria circunfleja izquierda; ICP: intervención coronaria percutánea; RLD: revascularización de la lesión diana; SLF: stent liberador de fármaco.
Los datos expresan n (%).
En este análisis, se evalúan los resultados clínicos a 10 años en los pacientes tratados con SLF de nueva generación o SLF de primera generación para la EC que afecta al TCI. Los principales resultados son los siguientes: a) tras un seguimiento de 10 años, la mortalidad tras la ICP con SLF para la EC que afecta al TCI fue elevada con independencia de la generación del SLF utilizado; sin embargo, el riesgo de muerte en los pacientes tratados con SLF de nueva generación fue inferior al de aquellos tratados con SLF de primera generación; b) en comparación con los SLF de primera generación, la ICP con SLF de nueva generación para la EC con afección del TCI se asoció a un menor riesgo de infarto de miocardio, RLD y trombosis definitiva del stent, y c) las RLD recurrentes fueron más frecuentes tras la ICP con implante de un SLF de primera generación para la EC con afección del TCI.
En general, los ensayos aleatorizados con datos de seguimiento a muy largo plazo tras la ICP para la EC con afección del TCI son limitados, y solamente se dispone de datos sobre el uso de los SLF de primera generación. Hasta donde sabemos, el presente análisis es el primero que presenta datos a muy largo plazo tras una ICP para la EC que afecta al TCI en el que se incluye el uso de SLF de nueva generación. Los resultados de este análisis requieren un examen cuidadoso.
En el registro MAIN-COMPARE, se trató a un total de 778 pacientes con una ICP con el empleo de 2 plataformas de SLF de primera generación para la EC con afección del TCI. Tras un seguimiento de 10 años, no se observaron diferencias significativas en los resultados clínicos obtenidos con las distintas plataformas de SLF4. En el presente estudio, pusimos de manifiesto un menor riesgo de muerte con los SLF de nueva generación en comparación con los SLF de primera generación para la afección del TCI, observación realizada antes para otras localizaciones de la EC7. Es de destacar que la mortalidad global en los pacientes tratados con la ICP descrita en el presente análisis es de aproximadamente el 40%, y es probable que esto se deba a la inclusión de una población de mayor edad con una puntuación EuroSCORE más elevada que en estudios anteriores realizados en pacientes con afección del TCI4,8,9.
La menor incidencia de RLD y de trombosis definitiva del stent a los 10 años en el grupo de SLF de nueva generación en comparación con el de SLF de primera generación se ha documentado repetidamente en otros estudios en una amplia variedad de anatomías coronarias tratadas con ICP. En el ensayo aleatorizado Intracoronary Stenting and Angiographic Results: Test Efficacy of 3 Limus-Eluting Stents (ISAR-TEST-4), a un total de 2.603 pacientes con diversas ubicaciones de la EC se les asignó aleatoriamente el tratamiento con un SLF de nueva generación o con un SLF de primera generación7. Al cabo de 10 años, la incidencia de episodios cardiacos adversos graves y de trombosis definitiva del stent fue significativamente mayor en el grupo de SLF de primera generación que en el de SLF de nueva generación. Además, se observaron tasas más elevadas de RLD al comparar los SLF de nueva generación con los de primera generación7. En consonancia con ello, los resultados a 10 años del ensayo Randomized Evaluation of Sirolimus-Eluting vs Everolimus-Eluting Stent Trial (RESET) también muestran tasas inferiores de fallo en la lesión diana y en el vaso diana con los SLF de nueva generación en comparación con los SLF de primera generación, y la tasa de trombosis del stent también fue numéricamente inferior en el grupo de SLF de nueva generación10. En otro análisis de una cohorte de 12.339 pacientes a los que se les implantó un SLF sin restricciones, se observaron unas tasas más bajas de trombosis muy tardía del stent con los SLF de nueva generación en comparación con los de primera generación11. Por último, los resultados del registro Swedish Coronary Angiography and Angioplasty Registry (SCAAR) también confirmaron unas tasas de fallo menores con los SLF de nueva generación en comparación con los de primera generación en 94.384 pacientes12.
El menor riesgo de infarto de miocardio a lo largo de 10 años observado con los SLF de nueva generación en comparación con los SLF de primera generación, en el presente análisis, concuerda con una observación previa realizada en la misma cohorte13, y se debió principalmente a un menor riesgo de infarto de miocardio en los primeros 30 días tras la ICP con los SLF de nueva generación. Es posible que este resultado esté relacionado, al menos en parte, con el predominio de la estrategia de implante de un único stent en el grupo de SLF de nueva generación, que se ha asociado a mejores resultados, incluidas unas tasas más bajas de infarto de miocardio periintervención14. Sin embargo, también es preciso reconocer el menor riesgo de trombosis definitiva del stent a lo largo de 10 años en los pacientes tratados con un SLF de nueva generación en comparación con los tratados con SLF de primera generación.
Tiene interés señalar que, en el presente análisis, se observó un número significativamente mayor de episodios de RLD recurrentes en el grupo de SLF de primera generación en comparación con el grupo de SLF de nueva generación. Este resultado tiene trascendencia clínica y no se ha descrito en ningún otro estudio. De hecho, solo se dispone de datos limitados sobre los episodios de RLD recurrentes en pacientes tratados con una ICP con un SLF, y no hay datos específicos respecto a la afección del TCI15–17. Una posible explicación de esta observación podría ser que el método de Kaplan-Meier, el más utilizado en los ensayos clínicos para calcular las tasas de acontecimientos clínicos, aplica una censura para el análisis estadístico de los episodios recurrentes. Además, la fase de seguimiento suele limitarse a un periodo relativamente corto. Es de destacar que, en comparación con el grupo de SLF de primera generación, los episodios de RLD recurrentes en el grupo de SLF de nueva generación se trataron con mayor frecuencia con un balón recubierto de fármaco, lo que podría reflejar el uso creciente de estos balones para los casos de fallo de los SLF a lo largo del tiempo. Sin embargo, el tratamiento óptimo de estos pacientes sigue sin estar claro, si bien los datos respaldan el uso tanto de SLF como de angioplastia con balón recubierto de fármaco en este contexto16.
LimitacionesEl presente análisis debe interpretarse con precaución a causa de varias limitaciones. En primer lugar, el criterio de valoración principal inicial en los ensayos ISAR-LEFT MAIN e ISAR-LEFT MAIN 2 se evaluó al cabo de 1 año; por lo tanto, la actual presentación corresponde a un análisis post hoc con sus correspondientes limitaciones intrínsecas. Además, los ensayos clínicos ISAR-LEFT MAIN e ISAR-LEFT MAIN 2 no tenían una potencia estadística suficiente para detectar diferencias en cuanto a criterios de valoración poco frecuentes. Por otro lado, los protocolos de ambos estudios incluían una evaluación angiográfica a los 6-9 meses, lo que podría influir en las tasas de episodios, aunque este efecto debería disminuir durante el seguimiento a largo plazo. Por otra parte, los pacientes incluidos en estos estudios han pasado por una selección y posiblemente representan solamente a una parte del espectro de pacientes con una EC que afecta al TCI.
En segundo lugar, los pacientes tratados con ICP e implante de un SLF para la afección del TCI se incluyeron en los ensayos controlados y aleatorizados agrupados para este análisis durante un periodo de 6 años. A pesar del amplio ajuste estadístico aplicado para las estimaciones del riesgo global, al interpretar los resultados debe tenerse en cuenta el posible impacto de los avances farmacológicos y técnicos durante este periodo de tiempo, y el papel de los factores de confusión no medidos, independientemente de la generación del SLF. Además, la obtención de imágenes endovasculares, que ahora se recomienda vivamente para los pacientes a los que se les practica una ICP por una afección del TCI, no se llevó a cabo de manera sistemática en ambos ensayos.
En tercer lugar, hay que tener en cuenta el posible impacto de los datos no disponibles, especialmente durante este seguimiento a tan largo plazo.
En cuarto lugar, el presente análisis no es una comparación directa de las dos generaciones de plataformas.
En quinto lugar, es preciso reconocer que las plataformas de los SLF han tenido continuas iteraciones en los últimos 20 años. A este respecto, aunque las plataformas de SLF de primera generación estudiadas en este trabajo ya no se utilizan, se han implantado a millones de pacientes en todo el mundo. Por este motivo, y teniendo en cuenta la acumulación de episodios adversos documentada en observaciones previas18, es de fundamental importancia presentar datos de seguimiento a muy largo plazo en los pacientes tratados con estos implantes coronarios permanentes para la afección del TCI en comparación con las plataformas de SLF que aún se utilizan en la práctica clínica habitual.
Por último, aunque se tuvo en cuenta el género durante el ajuste estadístico, este estudio no contiene un análisis específico según este criterio.
CONCLUSIONESEn el presente análisis de los ensayos clínicos ISAR-LEFT MAIN e ISAR-LEFT MAIN 2, la mortalidad global tras el implante de stents en el TCI fue elevada, independientemente del tipo de stent implantado. Tras 10 años de seguimiento, los pacientes tratados con SLF de nueva generación presentaron unas tasas de RLD y de trombosis del stent más bajas que las de aquellos tratados con SLF de primera generación.
FINANCIACIÓNNinguna.
CONSIDERACIONES ÉTICASTodos los pacientes recibieron y firmaron un documento de consentimiento informado por escrito para participar en el estudio. Ambos ensayos se realizaron de acuerdo con las disposiciones de la Declaración de Helsinki y las Buenas Prácticas Clínicas de la Conferencia Internacional sobre Armonización. El comité de ética médica de todos los centros participantes aprobó el protocolo. Se obtuvo una aprobación adicional del comité ético para la evaluación del seguimiento clínico a los 10 años, ya que este análisis post hoc no formaba parte de los protocolos iniciales de los ensayos incluidos. De acuerdo con las directrices SAGER, el género se incluyó como variable de ajuste, pero este estudio no contiene un análisis específico respecto a aquel. Esta información se incluyó en el apartado de limitaciones.
DECLARACIÓN SOBRE EL USO DE INTELIGENCIA ARTIFICIALEn la elaboración de este estudio, no se ha utilizado inteligencia artificial.
CONFLICTO DE INTERESESJ. Wiebe declara haber recibido pagos por conferencias de Abbott Vascular, AstraZeneca y Translumina, así como una beca de investigación de Abbott Vascular. C. Kuna declara haber recibido pagos por conferencias de AstraZeneca. S. Kufner declara haber recibido pagos por conferencias y consultoría de AstraZeneca, Bristol Myers Squibb y Bentley, así como pagos por conferencias de Abbott, Boehringer Ingelheim y Translumina, y una subvención para investigación de Bentley, sin relación con el presente trabajo. H. Schunkert declara haber recibido pagos por consultoría de AMGEN, AstraZeneca, Boehringer Ingelheim, Daiichi-Sankyo y Servier; pagos por conferencias de AstraZeneca, Bayer Vital, Novartis, Servier, Sanofi-Aventis, Synlab, Bristol Myers Squibb y AMARIN, y una subvención para investigación de AstraZeneca, St. Jude y Boston Scientific. Los demás autores no tienen conflictos de intereses que declarar.
CONTRIBUCIÓN DE LOS AUTORESTodos los autores hicieron contribuciones sustanciales al concepto o diseño del trabajo, o en la obtención, análisis o interpretación de los datos para el estudio: J. Wiebe, A. Kastrati y S. Cassese redactaron el trabajo y todos los autores lo revisaron de forma crítica en cuanto a contenido intelectual importante. Todos los autores aprobaron la versión final presentada para publicación. Todos los autores aceptan la responsabilidad respecto a todos los aspectos del trabajo por lo que respecta a garantizar que las cuestiones relativas a la exactitud o integridad de cualquier parte del mismo se hayan investigado y resuelto adecuadamente.
- -
El tratamiento intervencionista con implante de stent para la estenosis del TCI sin protección es razonable en los pacientes con una EC de complejidad baja e intermedia. Sin embargo, la mayor parte de los datos disponibles, y en especial los procedentes de ensayos aleatorizados, se limitan a un periodo de seguimiento máximo de 5 años. Además, la mayoría de los datos disponibles de este tipo corresponden a SLF de primera generación.
- -
El presente estudio evalúa los resultados clínicos a 10 años en los pacientes tratados con SLF de nueva generación o de primera generación para la EC de TCI sin protección. El tipo de stent implantado no influyó en la mortalidad global. Sin embargo, los pacientes tratados con SLF de nueva generación mostraron unas tasas de fallo del stent inferiores a las de los tratados con SLF de primera generación.
