The frequency, clinical characteristics and risk of atherosclerotic cardiovascular disease (ASCVD) of the different types of hypercholesterolemia are not well established. The primary and secondary objectives of this study were to determine the cause of hypercholesterolemia and whether the cause confers a different ASCVD prognosis.
MethodsThe analysis included 3474 probands with primary hypercholesterolemia, of whom 3283 (94.8%) were followed up for 9.33± 5.8 years for ASCVD. Genetic analysis of familial hypercholesterolemia (FH) genes, polygenic risk score for hypercholesterolemia, and lipid concentrations, including lipoprotein(a), were used to classify hypercholesterolemia.
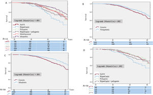
ResultsThe diagnoses were heterozygous FH, n=400 (11.5%); hyperlipoproteinemia(a), n=181 (5.2%); polygenic hypercholesterolemia, n=434 (12.5%); hyperlipoproteinemia(a) plus polygenic hypercholesterolemia, n=128 (3.7%); multifactorial, n=1562 (45.0%); and idiopathic, n=769 (22.1%). At baseline, low-density lipoprotein cholesterol levels were higher in heterozygous FH, and the prevalence of ASCVD was higher in hyperlipoproteinemia(a). Other clinical and biochemical characteristics did not differ among hypercholesterolemia subgroups. The survival rate was lower in participants with hyperlipoproteinemia(a) than in the other hypercholesterolemia groups (P=.001). Variables independently associated with ASCVD events during follow-up were age, male sex, the presence of ASCVD, diabetes or hypertension at baseline, current smoking, lipoprotein(a) concentration, and high-density lipoprotein cholesterol concentration, the latter being inversely associated with ASCVD events. Total mortality was independent of the type of hypercholesterolemia.
ConclusionsGenetic hypercholesterolemia has a worse prognosis for ASCVD than nongenetic hypercholesterolemia. Among individuals with genetic hypercholesterolemia, those with elevated lipoprotein(a) have the worst prognosis. Conventional lipid-lowering treatment for low-density lipoprotein cholesterol appears to be less effective in hypercholesterolemia due to hyperlipoproteinemia(a) than in other forms of hypercholesterolemia.
Keywords
Identify yourself
Not yet a subscriber to the journal?
Purchase access to the article
By purchasing the article, the PDF of the same can be downloaded
Price: 19,34 €
Phone for incidents
Monday to Friday from 9am to 6pm (GMT+1) except for the months of July and August, which will be from 9am to 3pm
