La frecuencia, las características clínicas y el riesgo de enfermedad cardiovascular ateroesclerótica (ECVA) de los diferentes tipos de hipercolesterolemia no están bien establecidos. Los criterios de valoración primarios y secundarios fueron establecer la causa de la hipercolesterolemia y si esta confiere un pronóstico diferente para la ECVA.
MétodosEl análisis incluyó a 3.474 probandos con hipercolesterolemia primaria, de los cuales 3.283 (94,8%) se siguieron durante 9,33±5,8 años para la ECVA. El análisis genético de los genes de la hipercolesterolemia familiar (HF), la puntuación de riesgo poligénico para la hipercolesterolemia y las concentraciones de lípidos, incluyendo la lipoproteína(a), se utilizaron para clasificar la hipercolesterolemia.
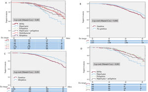
ResultadosLos diagnósticos fueron: HF heterocigota, n=400 (11,5%); hiperlipoproteinemia(a), n=181 (5,2%); hipercolesterolemia poligénica, n=434 (12,5%); hiperlipoproteinemia(a)+hipercolesterolemia poligénica, n=128 (3,7%); multifactorial, n=1.562 (45,0%), e idiopática, n=769 (22,1%). Al inicio, el colesterol unido a lipoproteínas de baja densidad fue mayor en la HF heterocigota, y la prevalencia de ECVA fue mayor en la hiperlipoproteinemia(a). Otras características clínicas y bioquímicas no difirieron entre los subgrupos de hipercolesterolemia. Los sujetos con hiperlipoproteinemia(a) mostraron una tasa de supervivencia menor que los otros grupos de hipercolesterolemia (p=0,001). Las variables asociadas independientemente con episodios de ECVA durante el seguimiento fueron la edad, el sexo masculino, la presencia de ECVA, diabetes o hipertensión al inicio, el tabaquismo, y las concentraciones de lipoproteína(a) y colesterol unido a lipoproteínas de alta densidad; estas últimas se asociaron inversamente con episodios de ECVA. La mortalidad total fue independiente del tipo de hipercolesterolemia.
ConclusionesLa hipercolesterolemia genética presenta un peor pronóstico para la ECVA que la hipercolesterolemia no genética. Entre ellas, las personas con valores elevados de lipoproteína(a) presentan el peor pronóstico. El tratamiento hipolipemiante convencional para el colesterol unido a lipoproteínas de baja densidad parece ser menos eficaz en la hipercolesterolemia debida a hiperlipoproteinemia(a) que en otras hipercolesterolemias.
Palabras clave
Identifíquese
¿Aún no es suscriptor de la revista?
Comprar el acceso al artículo
Comprando el artículo el pdf del mismo podrá ser descargado
Precio: 19,34 €
Teléfono para incidencias
De lunes a viernes de 9h a 18h (GMT+1) excepto los meses de julio y agosto que será de 9 a 15h
