Stent implantation has become the gold standard for the treatment of native coarctation of the aorta (CoA) and recurrent CoA in adolescents and adults. In smaller children, however, stent implantation remains technically challenging due to anatomical constraints and growth considerations. Furthermore, data on the optimal treatment strategy in this age group are still limited. This study retrospectively analyzed clinical outcomes in young children treated with stent implantation for recurrent aortic arch stenosis.
MethodsA total of 101 patients (63 male; 62%) with a body weight of less than 15kg were treated with endovascular stent implantation for restenosis of the reconstructed aortic arch (n=94; 93%) or native CoA (n=7; 7%). The median age at the time of stent implantation was 4.8 months (IQR, 3.2-9.6 months) with a median body weight of 5.9kg (IQR, 4.7-8.4kg). The median follow-up period was 46.4 months (IQR, 11.0-76.6 months).
ResultsAll procedures were successful, and no serious complications occurred. The peak-to-peak gradient decreased significantly from a median of 32.5mmHg (IQR, 17.3-46.0mmHg) to 0.0mmHg (IQR, 0.0-2.5mmHg; P<.005). The diameter of the narrow segment increased from a median of 3.0mm (IQR, 2.0-4.0mm) to 6.9mm (IQR, 6.0-8.0mm; P<.005). During follow-up, none of the patients required reoperation.
ConclusionsStent implantation is a safe and feasible treatment option in patients with restenosis after complex aortic arch reconstruction or native CoA in whom surgical treatment would pose an elevated risk of complications. However, repeated dilatations and, ultimately, intentional stent fracture are required during follow-up.
Keywords
Stent implantation is the method of choice for treating both native aortic coarctation (CoA) and recoarctation (re-CoA) in adult and adolescent patients.1 However, there is ongoing debate about implanting stents in smaller patients, in whom only low-profile stents can be used due to the small size of the access vessels. Once implanted in a small child, these stents require further dilatations and may eventually need intentional fracturing or surgical removal during follow-up to accommodate the hemodynamic requirements of the growing patient.
Resection of the affected segment with end-to-end anastomosis is the preferred surgical approach for CoA in neonates and very young children. This technique is favored because it avoids the use of metal stents, thereby preserving the potential for natural vessel growth. However, surgery may carry a higher risk of complications in certain cases, such as patients with re-CoA, those with prior complex aortic arch surgery (eg, following the Norwood procedure), or patients with acute contraindications to cardiac surgery due to poor clinical status or significant comorbidities. In such cases, balloon dilatation of the stenotic segment is a commonly performed procedure. Although potentially safe, it is often not effective in the long-term and predisposes patients to reinterventions or reoperations.2,3 Stent implantation can be a valuable treatment option with low risk and high effectiveness.
In this study, we present the immediate, short-, mid-, and long-term follow-up results of stent implantation in 101 patients weighing less than 15 kg who were diagnosed with native or re-coarctation of the aorta.
METHODSPatientsAll patients weighing ≤ 15 kg who underwent percutaneous stent implantation for CoA at the German Heart Center Munich between May 2013 and January 2024 were retrospectively analyzed. While most patients had recurrent aortic arch stenosis following complex surgical reconstruction, the study also included selected cases of native isolated CoA and a contraindication to surgical repair, for example, due to ongoing chemotherapy in a patient with acute lymphoblastic leukemia. Additionally, critically ill patients with hypoplastic left heart syndrome following the Norwood procedure, as well as those supported with extracorporeal membrane oxygenation, were included. In these cases, stent implantation was performed as an ultima ratio therapy.
Before the intervention, all cases were discussed by an interdisciplinary heart team comprising a cardiac surgeon, an interventional cardiologist, an intensive care cardiologist, and a general pediatric cardiologist. The patients’ guardians provided informed consent for each procedure and for anonymous scientific evaluation of the data in accordance with local regulations. The study protocol was approved by the local institutional ethics committee.
Initial procedureIn patients with biventricular circulation, the indication for stent implantation was an invasively measured peak-to-peak pressure gradient exceeding 20mmHg across the narrowed aortic segment. No other preprocedural imaging, such as cardiac magnetic resonance imaging or cardiac computed tomography, was routinely performed.
In 19 patients (19%), particularly those after the Norwood procedure, the decision to implant a stent was made despite a gradient lower than 20 mmHg, based on significant anatomical narrowing, poor ventricular function, or elevated end-diastolic pressure in the systemic ventricle. The balloon diameter for stent implantation was chosen according to the diameter of the descending aorta at the level of the diaphragm.
All stent types used were evaluated in bench testing to assess redilatation capacity, foreshortening, radial force, and the behavior during intentional stent fracture at maximum diameter. Only stents meeting acceptable criteria in all tested categories were implanted in patients. For detailed initial results of these bench tests, we refer to our previous publications.4,5
The anatomy of the aortic arch, including the ascending aorta and supra-aortic branches, was assessed by contrast angiography after obtaining vascular access. Hemodynamic parameters, including the peak-to-peak gradient across the narrowing, were collected. Based on these findings, an appropriate stent was selected and implanted. Following implantation, angiography and pressure measurements were repeated to verify the result and exclude complications. Sheath removal was performed slowly and carefully to minimize the risk of arterial spasm.
Hemostasis after stent implantation was achieved with manual compression, with high priority given to maintaining distal limb perfusion (manual compression under peripheral arterial pulse control). After achieving hemostasis, an elastic but not tight dressing was applied for 24hours. In patients weighing less than 5 kg, high-molecular-weight heparin infusion at 10,000 IU/m2/day was routinely administered for 24hours.
Patients were observed in the hospital for at least 24hours and were discharged following clinical and echocardiographic examination the next day.
Follow-upAfter stent implantation, all patients were scheduled for regular clinical and echocardiographic examinations, with careful attention given to the clinical assessment, including evaluation of peripheral pulses.
Noninvasive blood pressure measurements of the right arm and lower extremity were obtained using the VascAssist2 device (inmediQ GmbH, Germany) after the patient had rested in a supine position for more than 5minutes.
Doppler echocardiography was used to measure the maximal peak blood flow velocity at the former coarctation site. Diastolic run-off was defined as a continuously declining forward flow throughout diastole.
Indications for recatheterizationPatients with suspected restenosis at the stent level were scheduled for recatheterization. Evidence of restenosis was based on clinical findings, including a brachial-ankle systolic blood pressure difference greater than 20mm Hg, diminished pulses in the lower extremities, hypertension, and echocardiographic findings such as the presence of diastolic run-off, elevated maximal peak blood flow velocity on Doppler echocardiography across the stent, or a significant discrepancy between the diameter of the abdominal aorta and the diameter of the last balloon used to redilate the implanted stent.
ReinterventionDuring reinterventions, contrast angiography was performed to assess the anatomy, and the peak-to-peak pressure gradient across the stented segment was measured. Sequential balloon dilatation with 2-mm diameter increments was used to avoid the so-called dog-bone effect of the implanted stent.
Whenever intentional stent fracture was planned, a second stent was deployed within the first stent to prevent the formation of a napkin-ring configuration.5 Intentional stent fracture was indicated when the target vessel diameter exceeded the maximum redilatation capacity of the stent as determined by bench testing.
Statistical analysisAll statistical analyses were performed using SPSS software, version 28.0 (IBM Corp, Armonk, NY). Continuous variables and patient characteristics were summarized as mean ± standard deviation or median (interquartile range [IQR]), as appropriate. Long-term outcomes are presented as number (percentage), mean ± standard deviation, or median (IQR), as appropriate. Preprocedural and postprocedural measurements were compared using the paired Student t-test.
For analyses, patients were stratified by univentricular or biventricular circulation. Comparisons between groups were performed using the independent t test or the chi-square test, as appropriate. A P value <.05 was considered statistically significant. Time to first event, defined as the first transcatheter reintervention after stenting or death, was compared between patient cohorts using the log-rank test with Kaplan-Meier survival curves.
RESULTSPatientsBetween May 2013 and January 2024, 101 patients (63 male) with a body weight of less than 15kg and increased surgical risk were treated with endovascular stent implantation for re-CoA (n=94) or native CoA (n=7). In the group with stenosis of the reconstructed aortic arch, 84 patients (89%) had previously undergone complex aortic arch reconstruction, such as the Norwood procedure or aortic arch reconstruction with a patch. Patient characteristics are shown in table 1.
Patient characteristics
| Patient characteristics | No. (%) |
|---|---|
| Number of patients | 101 |
| Sex (male/female) | 63/38 (62/38%) |
| Median age at stenting, mo | 4.8 [3.2-9.6]; min. 0.2; max. 44.8) |
| Median weight at stenting, kg | 5.9 [4.7-8.4]; min 0.9; max. 15.0) |
| Median height at stenting, cm | 63 [58-74]; min. 38; max. 103) |
| Median follow-up time, months | 46.4 [11.0-76.6]; min. 0.1; max. 132.5) |
| Circulation physiology, univentricular/biventricular | 44/57 (44/56) |
| Vascular access, arterial/venous | 86/15 (85/15) |
| Primary diagnosis | |
| HLHS | 33 (33) |
| Hypoplastic aortic arch | 23 (23) |
| Isolated aortic coarctation | 28 (28) |
| Shone complex | 2 (2) |
| Interrupted aortic arch | 5 (5) |
| Other complex congenital heart diseases | 10 (10) |
HLHS, hypoplastic left heart syndrome; max., maximum; min., minimum.
Data are expressed as no. (%) or median [interquartile range].
Before stent implantation, 17 patients (17%) had undergone balloon angioplasty during a prior, separate catheterization procedure. However, this did not result in long-lasting therapeutic success. Stent implantation was not undertaken as a purely palliative intervention in any patient.
Initial procedureAll procedures were performed using a biplane angiography system. Interventions were conducted under intravenous sedation in spontaneously breathing patients unless the patient was already intubated for another indication, such as respiratory failure or critical clinical status.
Vascular access was obtained under ultrasound guidance in all patients, and 100 IU/kg high-molecular-weight heparin was administered unless contraindicated. All procedures were successful, and no complications occurred. The stents used in this study are listed in table 2 and table 3.
Stents implanted in our study group during the initial procedure
| Stent type | No. |
|---|---|
| Cook Formula; Cook Medical, United States | 88 |
| Coroflex Blue Coronary; B. Braun Vascular Systems, Germany | 1 |
| Onyx; Medtronic, Ireland | 1 |
| Osypka BabyStent; Osypka AG, Germany | 4 |
| Mega LD; Medtronic, Ireland | 2 |
| Bentley Coronary; InnoMed GmbH, Germany | 1 |
| Optimus L; AndraTec, Germany | 2 |
| Palmaz Blue; Cordis, United States | 2 |
The median age at the time of stent implantation was 4.8 months (IQR, 3.2-9.6), with a median body weight of 5.9kg (IQR, 4.7-8.4) and a median height of 63cm (IQR, 58-74). Peak-to-peak gradient decreased significantly from a median of 32.5mm Hg (IQR, 17.3-46.0) to 0.0mm Hg (IQR, 0.0-2.5; P<.005). The narrow segment was dilated from a median of 3.0mm (IQR, 2.0-4.0) to 6.9mm (IQR, 6.0-8.0) (P<.005).
In the smallest patients, stent implantation was performed using thin-walled sheaths, such as the Glidesheath Slender sheath (Terumo Europe, Belgium; n=28, 28%) or Halo sheath (Becton, Dickinson & Co, United States; n=14, 14%), to reduce the potential risk of vascular complications.
In 7 patients (7%), stent implantation was performed via 4 Fr, in 58 (57%) via 5 Fr, in 28 (28%) via 6 Fr, in 5 (5%) via 7 Fr, and in 2 (2%) via 8 Fr sheaths. In 15 patients (15%), the procedure was performed via the venous side (all with univentricular physiology). In only 1 patient (the smallest in our cohort, weighing 900g), stent implantation was performed via carotid artery access. In all other cases, femoral arterial access was used.
Five patients (5%) had weak or absent pulses distal to the puncture site immediately after the procedure. In 3 patients, this was successfully treated with heparin infusion and in 1 with alteplase infusion. One patient underwent successful percutaneous recanalization. During follow-up, femoral artery occlusion was diagnosed in 1 patient. The other 95 patients (95%) had no clinically detectable vascular complications.
Follow-up and reinterventionsDuring follow-up, 98 patients (97%) were regularly evaluated, and only 3 patients (3%) were lost to follow-up (all of whom currently reside abroad). During a median of 46.4 months (IQR, 11.0-76.6), 62 patients required 1 reintervention, 25 required 2, 9 required 3, and 1 required 4 reinterventions. During the first reintervention, 51 patients underwent balloon angioplasty and 11 underwent restenting; during the second, 19 underwent balloon angioplasty and 7 required restenting; during the third, 7 were treated with balloon angioplasty and 2 with restenting; and during the fourth, balloon angioplasty was performed (figure 1).
Flowchart illustrating the sequence and types of reinterventions performed during follow-up. Reinterventions were expected in most patients due to somatic growth and the need for vessel redilatation over time. Balloon angioplasty was sufficient in most cases to maintain vessel patency. Restenting was performed selectively, often as a preparatory step for future intentional stent fracture procedures. This pattern highlights the staged nature of interventional management in this growing pediatric population.
In 1 patient, follow-up angiography revealed an aneurysm, which was successfully treated with covered stent implantation. No stent fractures were observed during recatheterizations. In all patients requiring reintervention, a stent–vessel diameter mismatch was observed, as expected due to somatic growth.
Specifically, mismatch was defined as the stent diameter being significantly (≥ 3mm) smaller than the adjacent native vessel diameter at follow-up angiography.
In the subgroup analysis, patients with univentricular circulation required reinterventions more frequently than those with biventricular circulation. There was no significant difference in age between patients with univentricular and biventricular circulation (median age, 3.9 months; IQR, 2.4-8.9 vs 5.2 months; IQR, 3.9-10.6; P=.40). However, patients with univentricular circulation had significantly lower body weight (median, 4.95kg; IQR, 4.0-7.2 vs 6.7kg; IQR, 5.6-8.5; P=.018) and shorter body length (median, 60cm; IQR, 56.0-67.8 vs 66cm; IQR, 60.0-76.5; P=.022).
In our cohort, the median time between stent implantation and first redilatation was 14.17 months (IQR, 4.2-27.1) in patients with single-ventricle physiology, compared with 42.9 months (IQR, 9.4-65.3) in those with biventricular circulation (P=.003).
Eleven patients (11%) died during follow-up, 9 of whom had univentricular circulation (8 with hypoplastic left heart syndrome) and 2 with other complex cardiac defects (1 with Taussig-Bing anomaly and 1 with double-outlet right ventricle, subvalvular pulmonary stenosis, aortic stenosis, multiple ventricular septal defects, and hypoplastic aortic arch).
There were no deaths associated with stent implantation, either during the procedure or in follow-up. In 5 patients (5%), stent implantation was performed as an ultima ratio procedure in patients with very poor prognosis.
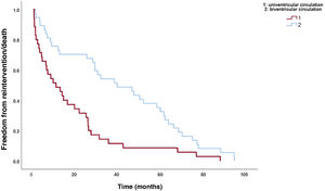
Time to first event, defined as the first transcatheter reintervention after stenting or death, was significantly shorter in the group with univentricular physiology compared with the biventricular circulation (P<.001, figure 2).
Intentional fracturingIntentional fracturing of the implanted stent was performed in 7 patients (figure 3; table 4). In each case, a second stent was implanted before fracturing to avoid napkin-ring formation and to stabilize the vessel wall. No patient has required reoperation to date. No spontaneous stent fracture was detected during follow-up.
Patient with hypoplastic left heart syndrome after the Norwood procedure who developed significant narrowing following complex aortic arch reconstruction at 8.2 months of age and 5.2kg body weight (A, arrow). This patient was treated with a 6-mm Formula stent (B, arrow). The same patient, more than 11 years later, was scheduled for intentional stent fracturing (C, weight 49kg); successful intentional stent fracturing was performed after implantation of an EV3 Mega LD stent (D).
Patients’ characteristics
| Case | Age, mo | Weight, kg | Stent type | Implanted stent diameter, mm | Sheath size, Fr | Age, mo | Weight,kg | Additional stent type | Balloon | Balloon diameter, mm |
|---|---|---|---|---|---|---|---|---|---|---|
| Initial stent implantation | Stent fracturing procedure | |||||||||
| 1 | 40.9 | 15.0 | Bentley | 5.0 | 5 | 46.1 | 17.0 | EV3 Mega LD | Dorado | 8 |
| 2 | 0.6 | 0.9 | Onyx | 3.5 | 4 | 15.8 | 7.7 | Formula | Conquest | 8 |
| 3 | 27.1 | 12.3 | Formula | 6.0 | 5 | 103.7 | 23.6 | Optimus XL | Atlas | 14 |
| 4 | 8.2 | 5.2 | Formula | 6.0 | 5 | 140.7 | 49.0 | Mega LD | Atlas | 14 |
| 5 | 2.3 | 4.0 | Formula | 6.0 | 5 | 79.5 | 20.0 | Optimus L | Atlas | 14 |
| 6 | 5.4 | 4.9 | Formula | 6.0 | 5 | 34.2 | 10.3 | Advanta XL | Atlas | 14 |
| 7 | 4.2 | 4.7 | Formula | 6.0 | 6 | 118.8 | 28.0 | EV3 Mega LD | Atlas | 14 |
Patient characteristics for the 7 patients who underwent intentional stent fracturing are summarized. In patient No. 2, a coronary stent was initially implanted at a body weight of 900g. The maximum redilatation capacity of the stent was reached approximately 15 months after implantation. Consequently, a second stent (Formula stent) was implanted, followed by intentional stent fracture using high-pressure balloon angioplasty with a Conquest balloon inflated to 35 atm.
Our study demonstrates that stent implantation in small patients with CoA and re-CoA is both safe and feasible, achieving high acute procedural success rates and favorable outcomes in short-, mid-, and long-term follow-up. This is the first study to include more than 100 patients and report follow-up data of up to 11 years after stent implantation for the treatment of coarctation in young children. As highlighted by our follow-up data, subsequent dilatations and intentional stent fracturing are essential components of this treatment concept (figure 4). These outcomes underscore the need for repeated catheterizations as an integral part of long-term management in this patient population.
Since we published our initial experience with stent implantation in small children with CoA and re-CoA in 2018,4 which included a cohort of 34 patients who successfully underwent CoA stenting, numerous reports have emerged documenting successful stenting of aortic coarctation in smaller children. For example, Gibb et al.6 reported mid-term follow-up results in 19 patients with a median weight of 21kg who received stenting for coarctation of the aorta using low-profile stents. In all patients, significant gradient reduction was achieved, and no serious complications occurred during a median follow-up of 56 months. In that study, only 1 patient was stented for re-coarctation of the aorta, while all other patients had native coarctation. Compared with our cohort, the median patient weight at the time of stent implantation was significantly higher.
Boe et al.7 reported results in 39 patients weighing less than 20kg in whom aortic coarctation was treated with a stent dilatable to adult size.7 Similarly, they reported significant gradient reduction and an increase in the diameter of the narrowed segment. All stents in that study were implanted through sheaths of 6 Fr or larger, and vascular complications occurred in 8% of patients. In our cohort, stents were implanted through 5 Fr sheaths in most cases. Additionally, stent fractures (all Palmaz Genesis XD stents) were observed in 21% of patients, contrasting with our results in which no stent fracturing was observed.
Van Kalsbeek et al.8 reported results in 15 patients weighing less than 12kg with native or recurrent coarctation of the aorta treated with Formula stent implantation.8 The procedural outcomes were satisfactory, with significant reduction in residual gradient. However, major complications such as periprocedural hemodynamic instability, iliac artery dissection, and nondeployment requiring surgical removal occurred in 20% of patients. The median follow-up was almost 32 months, with redilatations performed after a median interval of 24.3 months.
Treatment indicationsIn our study group, 94 of 101 patients were treated with stent implantation for re-coarctation of the aorta. Surgical treatment for aortic re-coarctation is often technically more challenging than surgery for native coarctation and is associated with higher mortality and morbidity.9 For selected patients—for example, low-weight preterm newborns, children with complex congenital heart disease, or patients in critical clinical condition—stenting of native coarctation of the aorta has proved to be a safe and effective solution.10
Gorenflo et al.10 reported 11 children with severe native coarctation of the aorta and 4 patients in the early postoperative period after coarctectomy or complex arch reconstruction who were managed with stent implantation as a bailout procedure. In that study, all patients were scheduled for surgical removal of the stent during follow-up. However, our data suggest that promising outcomes with stent redilatation and final intentional stent fracturing may allow avoidance of surgical stent removal in at least 7 patients in our cohort. For the management of aortic coarctation in low-weight preterm infants, stent implantation is being increasingly adopted due to the high surgical risk and high rate of recurrent coarctation in the early postoperative period. The smallest newborn reported to date treated with this bailout approach weighed 590g.11 The smallest patient in our study group weighed 900g at the time of stent implantation (table 4, patient no. 2). In this patient, the initial stent was intentionally fractured 15 months after implantation, avoiding the need for surgical treatment.
Vascular accessIn our cohort, vascular complications occurred in 6% of patients overall, and almost all were successfully managed noninvasively. Only 1 patient required an intervention. No other significant vascular complications were observed. We believe that routine use of ultrasound-guided puncture techniques, along with performing the procedure through the smallest possible sheath size, is critical to avoiding arterial injury.
For the smallest patients, thin-walled sheaths such as the Glidesheath Slender or Halo One may be considered to reduce the risk of vessel damage.12 In the study by Boe et al.,7 all stents were implanted through sheaths larger than 6 Fr, and vascular complications were observed in 8% of patients. Van Kalsbeek et al.8 reported 1 patient who developed iliac artery dissection after stent implantation.
Follow-up and redilatationThere are currently no established guidelines on the recommended intervals for stent redilatation during follow-up. Detailed clinical and echocardiographic monitoring is essential to determine the optimal timing for balloon dilatation, restenting, and ultimately intentional fracturing of the implanted stent. Factors that may be considered in this process include echocardiographic assessment of the aortic arch, maximal Doppler velocity across the implanted stent, the stent-to-descending aorta diameter ratio at the level of the diaphragm, palpation of femoral pulses, and blood pressure measurement in the right arm and lower extremities. However, none of these factors have proved to be a reliable indicator of significant restenosis in the stented segment.
In patients with single-ventricle circulation, particularly those with hypoplastic left heart syndrome after the Norwood procedure, redilatation should be performed more frequently. Although a gradient of 20mm Hg is a well-established indication for intervention, this threshold may be too high in univentricular circulation due to the need to reduce afterload and protect the right ventricle in systemic position. Factors that may be considered in the decision-making process include elevated end-diastolic pressure in the systemic ventricle and increased NT-proBNP levels as markers of potential heart failure.13
The optimal frequency and timing of stent redilatation remain subjects for further investigation.
Intentional fracturing of the stentIntentional fracturing of implanted stents not dilatable to adult size has been shown to be safe and effective in initial animal14 and human15 studies. However, several important procedural considerations should be noted. Stent dilatation should be performed using balloons in 2-mm diameter increments to avoid napkin-ring formation. We routinely implant a second stent before fracturing the first to prevent significant foreshortening during redilatation and the creation of a solid central metal ring (napkin ring) that cannot be fractured.
In a recently published study, we demonstrated intentional fracturing of the initial stent after implantation of a second stent in various locations in 17 patients, all without significant complications. 4.5 Nevertheless, an appropriately sized covered stent should always be available in case of vessel rupture and acute bleeding.16 In rare cases, surgical stent removal and graft interposition may be necessary.
In our cohort, 7 patients have already undergone intentional stent fracturing without any complications. Although this is a small group, the initial results are encouraging. Data on this procedure remain limited to a few reports, and the approach has not yet been widely adopted in clinical practice.
Only a minority of patients in our cohort received stents designed to be dilatable to adult vessel size (for example, MAX LD stents [Medtronic, Galway, Ireland] or Optimus L stents [AndraTec, Koblenz, Germany]). In contrast, most were treated with Formula stents, which have limited redilatation capacity—up to 12mm for the 6-mm version and up to 14mm for the 8-mm version, based on bench testing. Given that the adult aortic isthmus typically measures approximately 20mm in diameter, these stents are expected to reach their maximum expansion limits over time. Consequently, intentional stent fracture will likely become necessary in most patients in our cohort as part of long-term follow-up and management.
Alternative approach to intentional stent fracturingAn alternative treatment modality to intentional stent fracturing is implantation of a low-profile stent with redilatation capacity to adult size. Promising results from bench testing and initial clinical experience with the Optimus stent have been recently published.17 This study demonstrated that the stent can be dilated up to 23mm without significant shortening while maintaining structural integrity. However, this stent requires a 7 Fr introducer, which would have been too large for many patients in our cohort.
Biodegradable or breakable stents, such as the Osypka Baby Stent, have long represented an appealing concept and have shown promising early outcomes in some studies.18 However, their clinical application remains limited, and robust data on long-term outcomes are still lacking.
Another promising alternative is the newly developed and already Food and Drug Administration–approved Renata Minima stent (Renata Medical, United States). Initial clinical results are very promising.19 However, to date, only one report on its clinical use has been published.
LimitationsThis is a retrospective study, and despite long-term follow-up of up to 11 years, additional long-term data are needed. Furthermore, although the concept of intentional stent fracturing has demonstrated reliability as a treatment modality, it has been performed in only 7 patients to date. Additional studies with longer follow-up periods are necessary to determine the optimal timing for redilatation. No routine access-vessel ultrasound examinations were performed during follow-up.
CONCLUSIONSOur study shows that stent implantation in small patients with native CoA and restenosis after complex aortic arch reconstructions is safe and feasible in terms of procedural success as well as short-, mid-, and long-term follow-up. This approach can help avoid repeated surgery in critically ill and previously operated patients, such as those with single-ventricle circulation. However, these findings underscore the need for repeated catheter-based interventions as an integral part of long-term management, highlighting the importance of structured surveillance and timely reintervention to optimize outcomes.
FUNDINGNone.
ETHICAL CONSIDERATIONSThis study was conducted in accordance with the principles of the Declaration of Helsinki. Written informed consent was obtained from all participants prior to inclusion, ensuring they fully understood the purpose, procedures, potential risks, and benefits. Participant confidentiality was maintained throughout the study, with data anonymized and securely stored. The study protocol was approved by the local institutional ethics committee of the Technical University of Munich.
STATEMENT ON THE USE OF ARTIFICIAL INTELLIGENCENo artificial intelligence tools were used in the preparation of this manuscript.
AUTHORS’ CONTRIBUTIONSAll authors contributed substantially to the development of this manuscript. K. Gendera, S. Georgiev, and A. Eicken were responsible for the study concept, data analysis, and drafting of the initial manuscript. K. Gendera, P. Bambul Heck, A. Amici, A. Hager, M. von Stumm, and D. Dilber participated in data collection, statistical analysis, and manuscript revision. P. Ewert, A. Eicken, and P. Bambul Heck supervised the project, provided critical revisions, and approved the final manuscript. All authors have read and approved the final version for submission.
CONFLICTS OF INTERESTNone.
- –
Stent implantation in small children with native coarctation or restenosis after complex aortic arch reconstruction remains challenging due to anatomical constraints and growth considerations.
- –
However, a percutaneous, less invasive approach may reduce the need for repeated surgical interventions.
- –
Stent implantation in small children with native coarctation or restenosis after complex aortic arch reconstruction is a safe and effective alternative to surgery.
- –
Our study demonstrates high procedural success and favorable outcomes in short-, mid-, and long-term follow-up, even in high-risk patients such as those with single-ventricle physiology.
- –
These findings highlight the necessity of repeated catheter-based interventions as a core element of long-term management, emphasizing the importance of structured follow-up and timely reintervention to ensure optimal outcomes.
