It is unclear whether applying sex-specific rather than uniform upper reference limits (URLs) for high-sensitivity cardiac troponin I (hs-cTnI) improves diagnostic equity between women and men with suspected myocardial infarction (MI). We compared the diagnostic performance of these 2 approaches.
MethodsIn an international, prospective, multicenter study of patients presenting with suspected MI, the final diagnosis was centrally adjudicated twice by 2 independent cardiologists using all available information, including serial measurements of hs-cTnI-Architect, once using the uniform URL (26.2 ng/L) and once using sex-specific URLs (women: 15.6 ng/L; men: 34.2 ng/L). The primary outcome was the diagnostic performance of uniform vs sex-specific URLs at presentation for MI.
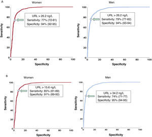
ResultsAmong 7137 eligible patients, 2434 were women (34%), median age 65 years, and 4703 were men (66%), median age 59 years. Using the uniform URL, 348 women and 880 men were adjudicated as having MI. At presentation, the sensitivity and specificity of hs-cTnI were high and similar in women (77%; 95%CI, 72-81, and 93%; 95%CI, 92-94, respectively) and men (79%; 95%CI, 77-82, and 94%; 95%CI, 93-94). Using sex-specific URLs, the sensitivity and specificity were 85% (95%CI, 81-89) and 91% (95%CI, 89-92) in women vs 74% (95%CI, 71-77), and 95% (95%CI, 94-95) in men (P<.001). Using sex-specific URLs, diagnostic reclassification occurred in 27 patients, 12 women (upgrade to MI) and 15 men (downgrade from MI), representing 0.4%, (95%CI, 0.3-0.6) of all patients.
ConclusionsUsing a uniform URL for hs-cTnI provides high and similar diagnostic sensitivity and specificity in women and men. Contrary to expectations, sex-specific URLs introduced sex-related disparities. These findings support the use of a uniform rather than sex-specific URL in the diagnosis of MI.
Keywords
Identify yourself
Not yet a subscriber to the journal?
Purchase access to the article
By purchasing the article, the PDF of the same can be downloaded
Price: 19,34 €
Phone for incidents
Monday to Friday from 9am to 6pm (GMT+1) except for the months of July and August, which will be from 9am to 3pm
