Long-term data after stenting of the left main coronary artery (LMCA) are scarce, especially regarding new-generation drug-eluting stents (DES). This analysis aimed to describe the 10-year clinical outcomes of patients who underwent percutaneous coronary intervention with different DES generations for LMCA disease.
MethodsIndividual patient data from the randomized controlled ISAR-LEFT MAIN and ISAR-LEFT MAIN 2 trials were pooled and 10-year clinical follow-up was obtained. The Kaplan-Meier method was used to calculate event rates. The main endpoints of interest for this analysis were all-cause mortality, myocardial infarction, target lesion revascularization and definite stent thrombosis.
ResultsA total of 1257 patients were included in this analysis, of which 650 patients were treated with new-generation DES and 607 with early-generation DES. At 10 years, the mortality rate was more than 40% in both groups. After statistical adjustment, 10-year mortality was significantly reduced in patients treated with new-generation DES compared with those treated with early-generation DES (HRadj, 0.78; 95%CI, 0.62-0.97). After 10 years, the risk of myocardial infarction (HRadj, 0.43; 95%CI, 0.23-0.80), target lesion revascularization (HRadj, 0.66; 95%CI, 0.49-0.89), and definite stent thrombosis (HRadj, 0.13, 95%CI, 0.04-0.49) was significantly reduced by new-generation DES compared with early-generation DES.
ConclusionsPatients undergoing percutaneous coronary intervention for LMCA disease have high 10-year mortality regardless of DES generation. The use of new-generation DES in patients with LMCA disease is associated with improved long-term clinical outcomes compared with early-generation DES.
Keywords
The vast majority of the blood supply to the left ventricle is provided by the left main coronary artery (LMCA), and therefore, coronary artery disease (CAD) with stenosis at this anatomical location has a relevant prognostic impact.1 Therefore, an optimal treatment is particularly important and remains challenging. Treatment approaches include coronary artery bypass graft surgery (CABG) and percutaneous coronary intervention (PCI) with stent implantation. Both options are feasible and reasonable in patients with low to intermediate CAD complexity.2,3 Current recommendations from European guideline-writing authorities support the less invasive approach of PCI with DES, provided complete revascularization comparable to that provided by CABG is achieved.2
Very long-term follow-up data (eg, 10 years) from patients treated with PCI and DES implantation for LMCA disease are mostly collected from studies that included patients treated with early-generation DES, while very long-term follow-up data of patients receiving new-generation DES for LMCA disease are lacking. Furthermore, the comparative performance of different generations of DES in patients with LMCA disease included in randomized controlled clinical trials has not been studied.4
In this context, the present study aimed to evaluate the 10-year clinical performance of early- and new-generation DES in patients with LMCA disease by pooling patient-level data from 2 randomized trials in which patients underwent PCI with DES implantation for LMCA disease.
METHODSStudy population and protocolFor this analysis, the individual datasets from the Intracoronary Stenting and Angiographic Results: Drug-Eluting Stents for Unprotected Coronary Left Main Lesions (ISAR-LEFT MAIN, NCT00133237) and ISAR-LEFT MAIN 2 (NCT00598637) clinical trials were pooled. Details concerning inclusion and exclusion criteria, as well as the main results of these trials, have been published previously.5,6 In summary, both studies included patients (≥18 years of age) with ischemic symptoms or evidence of myocardial ischemia, who underwent PCI with DES implantation for the treatment of unprotected LMCA. Patients were excluded if they presented with a myocardial infarction ≤48hours after the onset of symptoms, had undergone previous CABG, had in-stent restenosis, presented with cardiogenic shock, or if a staged PCI was planned within 30 days of the index procedure. The endpoints were identical in both trials.
Between July 2005 and June 2007, a total of 607 patients were included in the ISAR-LEFT-MAIN trial in 2 German centers. Of these patients, 302 were treated with a paclitaxel-eluting stent (Taxus, Boston Scientific, United States) and 305 patients were treated with a sirolimus-eluting stent (Cypher, Cordis, Johnson & Johnson, United States). Between December 2007 and September 2011, a total of 650 patients were enrolled in the ISAR-LEFT MAIN 2 trial at three German centers and one Italian center. Of these patients, 324 were treated with a zotarolimus-eluting stent (Resolute, Medtronic CardioVascular, Santa Rosa, California) and 326 patients were treated with an everolimus-eluting stent (Xience, Abbott Vascular Devices, United States).
All patients provided written informed consent to participate in the study. Both trials were conducted in accordance with the provisions of the Declaration of Helsinki and the International Conference on Harmonisation Good Clinical Practices. Approval of the protocol was obtained from the medical ethics committee for all participating centers. A further vote by the ethics committee was obtained for the evaluation of the 10-year clinical follow-up, as this post hoc analysis was not part of the initial protocols of the included trials.
Endpoints and definitionsThe endpoints of interest in this analysis included all-cause death, cardiac death, myocardial infarction, and target lesion revascularization (TLR). Cardiac death included death related to any cardiac disease, as well as unwitnessed death or death of unknown cause. TLR was defined as any repeat PCI involving the left main area or CABG surgery involving at least one of the left main coronary arteries due to restenosis, in the presence of objective signs of ischemia or ischemic symptoms. Furthermore, we evaluated the incidence of definite and probable stent thrombosis according to the Academic Research Consortium criteria, as well as the incidence of stroke.
Statistical analysisContinuous data are presented as mean±standard deviation and categorical data are presented as numbers with percentages. Differences between the 2 groups were calculated with the Student t-test for continuous variables and with the chi-square test (or Fisher test if cell counts were <5) for categorical variables. The Kaplan-Meier method was used the survival analyses and for time-to-first-event analysis and differences were calculated with the log-rank test. Hazard ratios (HR) with 95% confidence intervals (95% CI) were calculated using Cox proportional hazard models. Both unadjusted and adjusted models were used. Risk estimates with and without the contribution of statistical adjustment were calculated for all outcomes of interest. For statistical adjustment, all clinical and procedural factor variables listed in table 1, as well as medication, were included in the multivariable model. Robust sandwich estimators for the variance of regression coefficients were used to account for the competing risk of death and within-subject correlation. In cases where the proportional hazards assumption was not fulfilled, appropriate analytical measures were taken. This analysis also includes recurrent TLR without censoring after the first event, and therefore, an extended Cox model (Andersen-Gill model) was applied. Interaction between treatment effect and subgroup for TLR was tested using multiple linear regression. For all analyses, the statistical software R (version 4.1.0, R Foundation for Statistical Computing, Vienna, Austria) was used.
Clinical, angiographic and procedural baseline characteristics
| Variables | New-generation DES (n=650) | Early-generation DES (n=607) | P |
|---|---|---|---|
| Age, y | 70.2 [63.0-77.2] | 69.2 [63.0-75.7] | .16 |
| Female sex | 162 (24.9) | 139 (22.9) | .44 |
| Hypertension | 449 (69.1) | 419 (69.0) | 1.0 |
| Hypercholesterolemia | 470 (72.3) | 466 (76.8) | .08 |
| Diabetes mellitus | 185 (28.5) | 176 (29.0) | .88 |
| Active smoker | 91 (14.0) | 61 (10.0) | .04 |
| BMI | 27.1 [24.7-29.6] | 26.2 [24.2-28.6] | .001 |
| ACS at admission | 231 (35.5) | 247 (40.7) | .07 |
| Prior MI | 197 (30.3) | 161 (26.5) | .16 |
| Prior PCI | 343 (52.8) | 292 (48.1) | .11 |
| LVEF | 56 [43-60] | 58.0 [46-62] | .04 |
| Malignancies | 148 (22.8) | 61 (10.0) | <.001 |
| EuroSCORE | 5 [3-7] | 4 [2-7] | <.01 |
| Lesion localization in LMCA | <.001 | ||
| Ostium | 75 (11.5) | 70 (11.5) | |
| Midshaft | 56 (8.6) | 153 (25.2) | |
| Distal | 519 (79.8) | 384 (63.3) | |
| Trifurcation morphology | 103 (15.8) | 56 (9.2) | |
| SYNTAX score | <.001 | ||
| <23 | 156 (24.0) | 204 (33.6) | |
| 23-32 | 190 (29.2) | 235 (38.7) | |
| >32 | 304 (46.7) | 168 (27.7) | |
| Stenting technique | <.001 | ||
| Provisional | 417 (64.2) | 302 (49.8) | |
| Crush | 7 (1.1) | 0 (0.0) | |
| T-stenting | 41 (6.3) | 9 (1.5) | |
| Culotte | 185 (28.5) | 296 (48.8) | |
| Final kissing-balloon | 235 (36.2) | 303 (49.9) | <.001 |
ACS, acute coronary syndrome; BMS, body mass index; DES, drug-eluting stent; LVED, left ventricular ejection fraction; MI, myocardial infarction; LMCA, left main coronary artery; PCI, percutaneous coronary intervention.
The data are expressed as No. (%) or median [interquartile range].
A total of 1,257 patients were included in the ISAR-LEFT MAIN and ISAR-LEFT MAIN 2 trials, of which 650 were treated with new-generation DES and 607 with early-generation DES. Overall, the baseline clinical characteristics were well balanced, and no significant differences were observed regarding age, gender, diabetes, or clinical presentation between the groups. An overview of the clinical characteristics is shown in table 1. In terms of angiographic and procedural parameters, distal left main stenoses were observed more frequently in patients treated with early-generation DES. Provisional stenting was the predominant stenting technique in the new-generation DES group, whereas culotte stenting was performed more often in the early-generation DES group. Further angiographic and procedural details are presented in table 1.
In the new-generation DES group, 96.5% received clopidogrel and 3.5% received prasugrel in addition to aspirin at discharge, while all patients in the early-generation DES group were discharged on aspirin and clopidogrel (P<.001). Compared with patients receiving early-generation DES, patients receiving new-generation DES were less often prescribed statins (90.0% vs 95.4%, P<.001), angiotensin-converting-enzyme inhibitors (76.8% vs 86.3%, P<.001) and beta-blockers (92.5% vs 97.9%, P<.001). Angiotensin-1 blockers were prescribed more often in the new-generation DES group compared with early-generation DES group (16.2% vs 11.9%, P=.04).
The median follow-up of the entire patient cohort was 11.3 [interquartile range 10.0-13.4] years. The 10-year follow-up was not available in 152 patients, and the follow-up duration in these patients was 3.7 [2.9-4.3] years in these patients, with no statistically significant differences between groups.
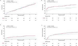
After 10 years of follow-up, all-cause mortality was 42.7% in patients treated with new-generation DES and 40.5% in those treated with early-generation DES, with a significantly lower risk of all-cause death in patients undergoing implantation of new-generation DES (adjusted HR, 0.78; 95%CI, 0.62-0.97, P=.03). Compared with patients included in the early-generation DES group, those treated with new-generation DES showed a significantly lower risk of TLR (19.6% vs 25.8%, adjusted HR, 0.66; 95%CI, 0.49-0.89, P=.01), definite stent thrombosis (0.8% vs 2.2%, adjusted HR, 0.13; 95%CI, 0.04-0.49, P<.01) and myocardial infarction (4.8% vs 7.0%, adjusted HR, 0.43; 95%CI, 0.23-0.80, P<.01). Of note, compared with early-generation DES, the risk of myocardial infarction was significantly lower within 30 days after PCI with new-generation DES (P=.003) and comparable thereafter (P=.41). Further details of the clinical outcomes are displayed in figure 1 and table 2 and a study summary is presented in figure 2. A subgroup analysis showed no significant interactions regarding mortality, whereas a significant interaction with treatment effect regarding TLR was seen for diabetes, with new-generation DES being more effective in nondiabetics (figure 3).
Ten-year Kaplan-Meier time to event curves. Clinical outcomes at 10 years in patients with left main coronary artery disease treated with either new-generation drug-eluting stent (NG-DES) or early-generation drug-eluting stent (EG-DES) in terms of (A) all-cause mortality, (B) myocardial infarction, (C) target lesion revascularization, and (D) definite stent thrombosis. Data are shown as Kaplan-Meier event curves, with hazard ratios and 95% confidence intervals.
Clinical outcomes
| Unadjusted | Adjusted | |||||
|---|---|---|---|---|---|---|
| Endpoints | New-generation DES | Early-generation DES | Hazard ratio | P | Hazard ratio | P |
| All-cause death | 241 (42.7) | 236 (40.5) | 1.08 (0.90-1.29) | .42 | 0.78 (0.62-0.97) | .03 |
| Cardiac death | 147 (26.8) | 138 (23.8) | 1.15 (0.91-1.45) | .24 | 0.88 (0.66-1.19) | .41 |
| Myocardial infarction | 30 (4.8) | 42 (7.0) | 0.68 (0.43-1.09) | .11 | 0.43 (0.23-0.80) | <.01 |
| Definite ST | 5 (0.8) | 13 (2.2) | 0.38 (0.14-1.07) | .07 | 0.13 (0.04-0.49) | <.01 |
| Definite or probable ST | 9 (1.5) | 20 (3.4) | 0.46 (0.21-1.0) | <.05 | 0.21 (0.08-0.52) | <.001 |
| All TLR | 120 (19.6) | 153 (25.8) | 0.75 (0.59-0.96) | .02 | 0.66 (0.49-0.89) | <.01 |
| TLR-CABG | 11 (1.9) | 19 (3.2) | 0.57 (0.27-1.21) | .14 | 0.39 (0.14-1.13) | .08 |
| TLR-PCI | 111 (18.2) | 140 (23.6) | 0.77 (0.60-0.98) | .03 | 0.68 (0.50-0.93) | .02 |
| Non-TLR | 261 (41.6) | 256 (42.8) | 1.01 (0.85-1.20) | .87 | 0.96 (0.77-1.18) | .67 |
| Stroke | 14 (2.3) | 15 (2.5) | 0.91 (0.43-1.90) | .80 | 0.37 (0.16-1.32) | .15 |
CABG, coronary artery bypass graft; PCI, percutaneous coronary intervention; TLR, target lesion revascularization; ST, stent thrombosis.
Unless otherwise specified, the data are presented as No. (%).
Central illustration. In this analysis, data from the randomized controlled ISAR-LEFT MAIN and ISAR-LEFT MAIN 2 trials were pooled and 10-year clinical follow-up was obtained. A total of 650 patients were treated with new-generation drug-eluting stent (NG-DES) and 607 with early-generation drug-eluting stent (EG-DES). After 10 years, mortality was comparable between patients treated with the new-generation and early-generation DES, while target lesion revascularization and definite stent thrombosis were significantly reduced by new-generation DES. Data are shown as hazard ratios with 95% confidence intervals (95%CI). HR, hazard ratio; PCI, percutaneous coronary intervention. Parts of the central illustration are used and modified from Servier Medical Arts (License: https://creativecommons.org/licenses/by/4.0/).
Subgroup analysis. Subgroup analysis of patients who underwent left main stenting with new-generation (NG) or early-generation (EG) drug-eluting stents (DES) regarding (A) all-cause mortality and (B) target lesion revascularization. Data are shown as hazard ratios with 95% confidence intervals (95%CI).
Recurrent TLR-PCI were less frequent in the new-generation DES group. The majority of patients with recurrent TLR had 1 or 2 events; however, the proportion of patients requiring 3 or more interventions was higher in the early-generation DES group. In the new-generation DES group, stenting was less often used for the treatment of recurrent TLR compared with the early-generation DES group (41.0% vs 54.4%, P=.02). No statistically relevant differences were observed regarding the region of recurrent TLR-PCI. Further details of patients with recurrent TLR-PCI are presented in table 3.
Recurrent revascularization
| Recurrent revascularization details | New-generation DES(n=139) | Early-generation DES(n=182) | P |
|---|---|---|---|
| Number of recurrent TLR-PCI | .001 | ||
| 1 | 92 (66.2) | 113 (62.1) | |
| 2 | 28 (20.1) | 30 (16.5) | |
| 3 | 6 (4.3) | 27 (14.8) | |
| 4 | 8 (5.8) | 12 (6.6) | |
| 5 | 5 (3.6) | 0 (0.0) | |
| Type of recurrent TLR-PCI | .02 | ||
| Ballonangioplasty | 82 (59.9) | 83 (45.6) | |
| Drug-coated balloon* | 30 (21.6) | 13 (7.1) | |
| Stent | 57 (41.0) | 99 (54.4) | |
| Region of recurrent TLR-PCI | .05 | ||
| Left main | 66 (47.5) | 110 (60.4) | |
| LAD | 25 (18.0) | 29 (15.9) | |
| LCX | 48 (34.5) | 43 (23.6) |
DES, drug-eluting stent; LAD, left anterior descending artery; LCX, left circumflex artery; PCI, percutaneous coronary intervention; TLR, target lesion revascularization.
The data are presented as No. (%).
This analysis evaluates the 10-year clinical outcomes of patients treated with either new-generation DES or early-generation DES for LMCA disease. The main findings are: a) at 10-year follow-up, mortality after PCI with DES for LMCA disease was high regardless of DES-generation; however, the risk of death in patients treated with new-generation DES was lower than that in patients receiving early-generation DES; b) compared with early-generation DES, PCI with new-generation DES for LMCA disease was associated with a lower risk of myocardial infarction, TLR, and definite stent thrombosis; and c) recurrent TLR events were more frequent after PCI with implantation of early-generation DES for LMCA disease.
Overall, randomized trials with very long follow-up data after PCI for LMCA disease are limited, and only data on the use of early-generation DES are available. To our knowledge, the present analysis is the first report of very long-term data after PCI for LMCA disease that includes new-generation DES. The results of this analysis require careful discussion.
In the MAIN-COMPARE registry, a total of 778 patients underwent PCI with 2 early-generation DES platforms for LMCA disease. After 10-year follow-up, there was no significant difference in clinical performance between DES platforms.4 In the present study, we demonstrated a lower risk of death with new-generation DES compared with early-generation DES for LMCA disease, an observation that has already been reported in other CAD locations.7 It is noteworthy that the overall mortality of PCI patients reported in the current analysis is approximately 40% and is likely attributable to the enrollment of an older population with a higher EuroSCORE compared with previous studies dealing with patients presenting with LMCA disease.4,8,9
The lower incidence of TLR and definite stent thrombosis at 10 years in the new-generation DES group compared with the early-generation DES group has repeatedly been documented in other studies in a wide range of coronary anatomies treated with PCI. In the randomized Intracoronary Stenting and Angiographic Results: Test Efficacy of 3 Limus-Eluting Stents (ISAR-TEST-4) trial, 2603 patients with various CAD locations were randomized to receive either a new-generation DES or an early-generation DES.7 After 10 years, the incidences of major adverse cardiac events and definite stent thrombosis were significantly higher in the early-generation DES group as compared with the new-generation DES group. In addition, higher rates of TLR were observed when comparing new-generation DES with early-generation DES.7 Consistently, the 10-year outcomes from the Randomized Evaluation of Sirolimus-Eluting vs Everolimus-Eluting Stent Trial (RESET) also show lower rates of target lesion and vessel failure for new-generation DES compared with early-generation DES and the rate of stent thrombosis was also numerically lower in the new-generation DES group.10 Another analysis from a cohort of 12 339 patients who underwent unrestricted DES implantation showed lower rates of very late stent thrombosis with new-generation DES compared with early-generation DES.11 Finally, findings from the Swedish Coronary Angiography and Angioplasty Registry (SCAAR) also confirmed lower rates of failure with new-generation DES compared with early-generation DES in 94 384 patients.12
The lower risk of myocardial infarction through to 10 years, observed with new-generation DES compared with early-generation DES in the current analysis, is consistent with a previous observation from the same cohort,13 and was predominantly due to a lower risk of myocardial infarction in the first 30 days after PCI with new-generation DES. This result may be related, at least in part, to the predominance of the single-stenting strategy in the new-generation DES group, which has been associated with better outcomes, including lower rates of periprocedural myocardial infarction.14 However, the lower risk of definite stent thrombosis over 10 years in patients receiving new-generation DES compared with early-generation DES should also be recognized.
Of interest, the current analysis reported significantly more recurrent TLR events in the early-generation DES group than in the new-generation DES group. This finding is of clinical relevance and is a unique feature of this report. In fact, only limited data are available on recurrent TLR events in patients undergoing PCI with DES, and dedicated data on LMCA disease are missing.15–17 An explanation for this observation could be that the Kaplan-Meier method, most commonly used in clinical trials to calculate the rates of clinical events, censors recurrent events. Additionally, the follow-up phase is often limited to a relatively short period. Notably, compared with the early-generation DES group, recurrent TLR events in the new-generation DES group were more often treated with drug-coated balloon, which might reflect the growing use of drug-coated balloons for DES failure over time. However, the optimal treatment of these patients remains unclear, although data support the use of both DES and drug-coated balloon angioplasty in this setting.16
LimitationsThe present analysis must be interpreted with caution due to several limitations. First, the initial primary endpoint in ISAR-LEFT MAIN and ISAR-LEFT MAIN 2 was assessed after 1 year; therefore, the present report is a post hoc analysis with its intrinsic limitations. Also, the ISAR-LEFT MAIN and ISAR-LEFT MAIN 2 clinical trials were not powered to detect differences regarding rare endpoints. In addition, an angiographic evaluation after 6-9 months was part of both study protocols, which could influence the event rates, although this effect should decrease during long-term follow-up. Furthermore, patients included in these studies are selected and possibly represent only a part of the spectrum of patients with LMCA disease.
Second, patients treated with PCI and DES implantation for LMCA disease were enrolled over a 6-year time frame in the randomized controlled trials pooled for this analysis. Despite extensive statistical adjustment for overall risk estimates, the possible impact of pharmacological and technical progress during this time period and the role of unmeasured confounders, regardless of DES generation, should be considered when interpreting the results. In addition, intravascular imaging was not routinely performed in each included trial, which is now highly recommended in patients undergoing PCI for LMCA disease.
Third, the potential impact of missing data, especially during this very long-term follow-up, needs to be taken into account.
Fourth, the present analysis is not a head-to-head comparison between the2 generations of platforms.
Fifth, it must be acknowledged that DES platforms have undergone continuous iteration over the past 20 years. In this regard, although the early-generation DES platforms studied in this report are no longer in use, they have been implanted in millions of patients worldwide. For this reason, and considering the accumulation of adverse events documented in previous observations,18 it is of fundamental importance to report on the very long-term follow-up of patients receiving these permanent coronary implants for LMCA disease compared with those DES platforms still in routine practice.
Finally, although gender was considered during statistical adjustment, this study does not contain a gender-specific analysis.
CONCLUSIONSIn the present analysis of the ISAR-LEFT-MAIN and ISAR-LEFT MAIN 2 trials, the overall mortality after stenting of the LMCA was high, irrespective of the implanted stent type. After 10 years of follow-up, patients treated with new-generation DES showed lower rates of TLR and stent thrombosis compared with patients treated with early-generation DES.
- -
Interventional treatment with stenting of stenosis of the unprotected LMCA is reasonable in patients with low and intermediate complexity of CAD. However, most of the available data, especially from randomized trials, are limited to a maximum follow-up period of 5 years. Furthermore, these data are mostly available for early-generation DES.
- -
The present study evaluates the 10-year clinical outcomes of patients treated with either new-generation DES or early-generation DES for unprotected left main CAD. The implanted stent type did not impact on overall mortality. However, patients treated with new-generation DES showed lower rates of stent failure compared with those treated with early-generation DES.
None.
ETHICAL CONSIDERATIONSAll patients received and signed a written informed consent form to participate in the study. Both trials were conducted in accordance with the provisions of the Declaration of Helsinki and the International Conference on Harmonisation Good Clinical Practices. The protocol was approved by the medical ethics committee for all participating centers. A further vote by the ethics committee was obtained for the evaluation of the 10-year clinical follow-up, as this post hoc analysis was not part of the initial protocols of the included trials. According to SAGER guidelines, gender was included as a variable for adjustment, but this study does not contain a gender-specific analysis. This information was added to the limitations section.
STATEMENT ON THE USE OF ARTIFICIAL INTELLIGENCENo artificial intelligence was used in the preparation of this study.
CONFLICTS OF INTERESTJ. Wiebe reports speaker fees from Abbott Vascular, AstraZeneca, and Translumina, as well as an institutional research grant from Abbott Vascular. C. Kuna has received speaker fees from AstraZeneca. S. Kufner reports speaker and consulting fees from AstraZeneca, Bristol Myers Squibb, and Bentley, as well as speaker fees from Abbott, Boehringer Ingelheim, and Translumina, and a research grant from Bentley, not related to the current work. H. Schunkert received consulting fees from AMGEN, AstraZeneca, Boehringer Ingelheim, Daiichi-Sankyo, and Servier; speaker fees from AstraZeneca, Bayer Vital, Novartis, Servier, Sanofi-Aventis, Synlab, Bristol Myers Squibb, and AMARIN; and a research grant from AstraZeneca, St. Jude, and Boston Scientific. All other authors have no conflicts of interest to declare.
AUTHORS’ CONTRIBUTIONSAll authors substantially contributed to the conception or design of the work or the acquisition, analysis, or interpretation of the data for the work. J. Wiebe, A. Kastrati, and S. Cassese drafted the work and all authors revised it critically for important intellectual content. All authors approved the submitted version to be published. All authors agree to be accountable for all aspects of the work in ensuring that questions related to the accuracy or integrity of any part of the work are appropriately investigated and resolved.
