Autoimmune diseases (ADs) are associated with an increased risk of developing certain cardiac arrhythmias. However, their prognostic effect in patients with cardiac arrhythmias has not been comprehensively investigated. We aimed to assess the association between ADs and prognosis in this population.
MethodsBased on a large retrospective observational cohort, this study included patients with various cardiac arrhythmias, including atrial fibrillation/atrial flutter (AF/AFl), ventricular tachycardia/ventricular fibrillation (VT/VF), and bradyarrhythmias. ADs were considered an exposure factor. The endpoint was all-cause mortality. Cox proportional hazards regression analyses were performed to calculate hazard ratios (HR) and 95% confidence intervals (95%CI) to quantify associations. Propensity score matching was used to mitigate potential confounding bias.
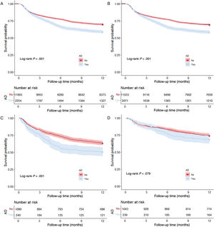
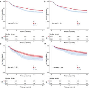
ResultsThe analysis included 14 225 patients (mean age, 73.9±12.5 years, 59.2% women), of whom 4552 (32.0%) died within 1 year of discharge. After adjustment for various covariates, patients with ADs showed a higher risk of mortality in AF/AFl (HR, 1.23; 95%CI, 1.1-1.33; P<.001) and VT/VF (HR, 1.28; 95%CI, 1.02-1.60, P=.032). For bradyarrhythmias, although a potential association was observed, the trend did not reach statistical significance (HR, 1.20; 95%CI, 0.93-1.56; P=.168). The association persisted among multiple sensitivity analyses and remained consistent after adjustment for a wide range of covariates.
ConclusionsADs were significantly associated with an increased risk of all-cause mortality in patients with cardiac arrhythmias, particularly in those with AF/AFl and VT/VF.
Keywords
Identify yourself
Not yet a subscriber to the journal?
Purchase access to the article
By purchasing the article, the PDF of the same can be downloaded
Price: 19,34 €
Phone for incidents
Monday to Friday from 9am to 6pm (GMT+1) except for the months of July and August, which will be from 9am to 3pm
