Arrhythmias such as atrial fibrillation and atrial flutter (AF/AFl) complicate the management of patients with non–ST-segment elevation acute coronary syndrome (NSTEACS). The aim of this study was to analyze the prognostic impact of AF/AFl in this clinical setting.
MethodsThe IMPACT-TIMING-GO is a prospective, multicenter registry that enrolled patients with NSTEACS undergoing invasive management. In this subanalysis, patients were categorized based on the presence of AF/AFl (either pre-existing or occurring during admission). Clinical management and complications were assessed both during hospitalization (using a composite endpoint of death, renal failure, ventricular arrhythmias, delirium, new infarction, mechanical complications, and major bleeding) and after 1 year of follow-up (using a composite endpoint of death, cardiovascular admissions, and major bleeding).
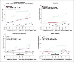
ResultsA total of 1020 patients (mean age, 66.8±12.7 years; 23.5% women) were included. Of these, 79 (7.7%) had prior AF/AFl, and 37 (3.6%) developed de novo AF/AFl during admission. Patients with AF/AFl were older and had a higher comorbidity burden, with de novo AF/AFl being associated with greater clinical severity. After multivariate adjustment, only de novo AF/AFl, and not previous AF/AFl, was independently associated with the composite endpoint of in-hospital complications (OR, 5.12; 95%CI, 2.30-11.43; P <.001 vs OR, 1.70, 95%CI, 0.91-3.58; P=.166) and adverse events at 1 year (HR, 1.95; 95%CI, 1.02-3.76; P=.045 vs HR, 1.02, 95%CI, 0.55-5.86; P=.957).
ConclusionsIn patients with NSTEACS, de novo AF/AFl is independently associated with higher rates of both in-hospital and follow-up complications.
Keywords
Identify yourself
Not yet a subscriber to the journal?
Purchase access to the article
By purchasing the article, the PDF of the same can be downloaded
Price: 19,34 €
Phone for incidents
Monday to Friday from 9am to 6pm (GMT+1) except for the months of July and August, which will be from 9am to 3pm
